Предмет: Геометрия, автор: Soltoevbek

Равно сторонний треугольник высота 9 как найти площадь? ПОДРОБНЕЕ

Ответы

Автор ответа: TatoBadzgaradze
0

Ответ: 27sqrt(3)

Объяснение: высота равностороннего треугольника вычисляется по формуле h=a×sqrt(3)/2.

9=a×sqrt(3)/2

18=a×sqrt(3)

a=18/sqrt(3)=6×sqrt(3)

S=a^2×sqrt(3)/4=27sqrt(3)

Автор ответа: vlajong
0

Ответ:

Объяснение:

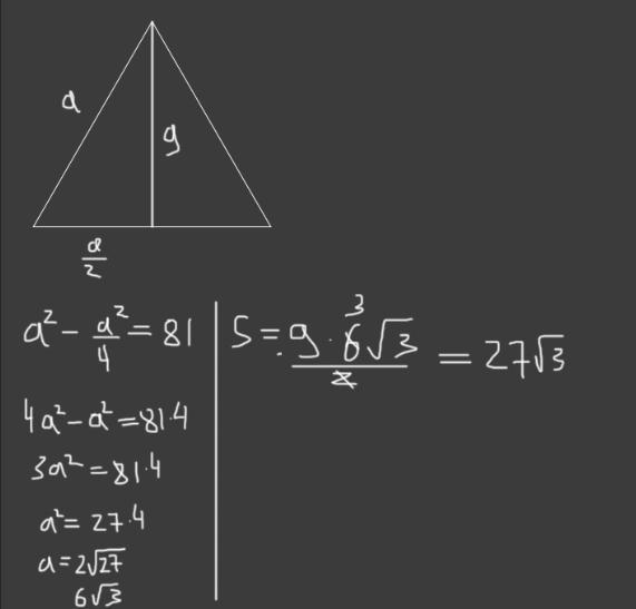
запишем теорему пифагора для левой стороны треугольника обозначив сторону треугольника за а

найдем а

и воспользуемся стандартной формулой для нахождения площади

Приложения:
Похожие вопросы
Предмет: История, автор: IceCreamm
В4. (5 балов) Расположите события в хронологическом порядке.
А. Битва при Сольферино
Б. Венский конгресс
В. Подписание декрета о континентальной блокаде
Г. Мировой промышленный кризис Европы
Д. Первое заседание Франкфуртского национального собрания.
Е. Парижская коммуна
Ж. Период консульства во Франции
З. Наполеон становится императором французов
В5. (3 бала) Выберите верные утверждения:
А. Основателем Лондонской ассоциации рабочих был Уильям Ловетт
Б. Одним из важнейших итогов Венского конгресса стало вступление России в ряд ведущих государств Европы
В. Благодаря Шарлю Морис Талейрану на Венском конгрессе учитывали интересы Италии, сам он был представителем из Италии
Г. 1815 год – образование Германской империи
Д. Джузеппе Гарибальди и Джузеппе Мадзини – национальные герои итальянского народа.
Е. Битва при Ватерлоо состоялась в 1815 году