Предмет: Математика, автор: LoUyyR12

Вычислить:

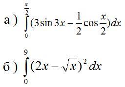
А) Определенный интеграл от pi/2 до 0 : (3sin 3x - 1/2 cos(x/2))dx

Б) Определенный интеграл от 9 до 0 : \int\limits^9_0 {(2x- \sqrt{x})^2} \, dx

Приложения:

Ответы

Автор ответа: aastap7775
1

\int\limits^\frac{\pi}{2}_0{(3sin(3x) - \frac{1}{2}cos\frac{x}{2} ) } \, dx = -cos(3x) - sin\frac{x}{2} |^\frac{\pi}{2}_0= -\frac{1}{\sqrt{2}} + 1.\\Answer: 1 -\frac{1}{\sqrt{2}}\\\int\limits^9_0 {(2x-\sqrt{x})^2} \, dx = \int\limits^9_0 {4x^2 + x - 4x\sqrt{x}} \, dx = \int\limits^9_0 {4x^2 + x - 4x^{1.5}} \, dx = \frac{4}{3}x^3 + \frac{1}{2}x^2 - \frac{4}{2.5}x^{2.5} =\frac{4}{3}x^3 + \frac{1}{2}x^2 - \frac{8}{5}x^2\sqrt{x}|^{9}_0 = 972+40.5-388.8=623.7\\Answer: 623.7

Похожие вопросы
Предмет: Математика, автор: viktoriashilenok