Предмет: Математика,
автор: lolly10
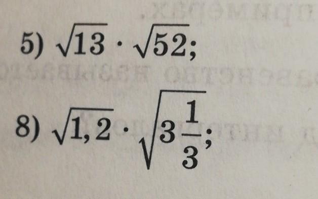
ОБЪЯСНИТЕ ПОЖАЛУЙСТА КАК РЕШАТЬ
Приложения:
Ответы
Автор ответа:
0
Ответ на фото. Если непонятно, то пиши.
Приложения:
Автор ответа:
0
Ответ:
1 - 26. 2 - 2
Пошаговое объяснение:
1. вынесим все под общий корень.
и получим √13 * 52
52 = 2 * 2 * 13.
√13 * 13 * 2 * 2 = 13 * 2 = 26
2. представим всё ввиде дроби и вынесем под корень.
√12/10 * 10/3
10 взаимоуничтожаются сокращаем 12 на 3
и получаем
√4 = 2
Похожие вопросы
Предмет: Другие предметы,
автор: abobosikos
Предмет: Математика,
автор: garnishevan1991
Предмет: Английский язык,
автор: lisakorobka
Предмет: Литература,
автор: lazareva21
Предмет: Литература,
автор: MixaBIT