Предмет: Алгебра,
автор: somashi362
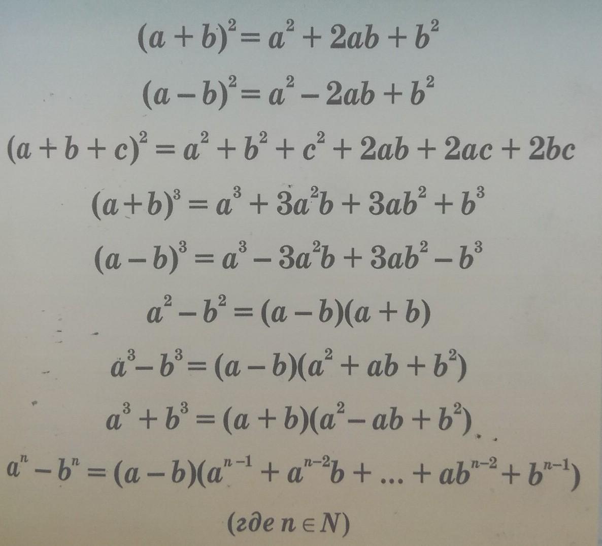
как правильно читается каждое(словесная формулировка)?
Приложения:
Simba2017:
1)квадрат суммы двух слагаемых равен сумме квадрата первого слагаемого, удвоенного произведения первого на второе слагаемое и квадрата второго слагаемого
остальные -похоже...
Ответы
Автор ответа:
1
Эти формулы сокращённого умножения очень легко расшифровываются:
Приложения:
Похожие вопросы
Предмет: Математика,
автор: ilyakashuba52
Предмет: Химия,
автор: chornobrovanastya
Предмет: Алгебра,
автор: 0nazz19
Предмет: Математика,
автор: minefrost
Предмет: Математика,
автор: allia1012