Предмет: Алгебра,
автор: gxufu
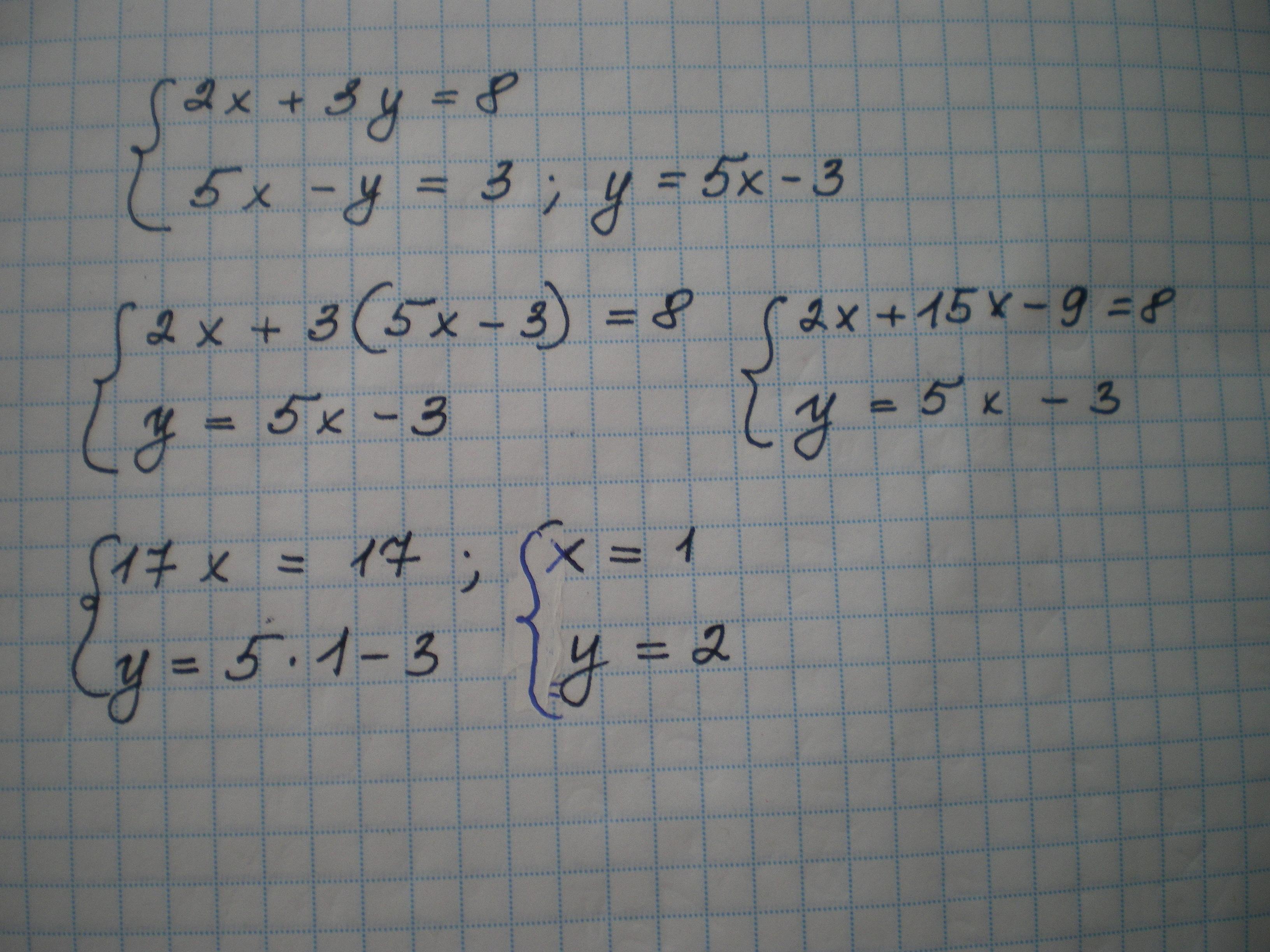
[2x+3y=8;
[5x-y=3; помогите решить систему уравнений
Ответы
Автор ответа:
0
Ответ: (1;2)
Объяснение:
Приложения:
Автор ответа:
1
Ответ:
{1; 2}
Объяснение:
Решаем способом подстановки:
Приложения:
Похожие вопросы
Предмет: География,
автор: gomcnit2389
Предмет: Химия,
автор: Elichkaaz
Предмет: Английский язык,
автор: maskim231
Предмет: Геометрия,
автор: мик6а
Предмет: История,
автор: vashurina1984