Предмет: Алгебра,
автор: ChelovekGeniy
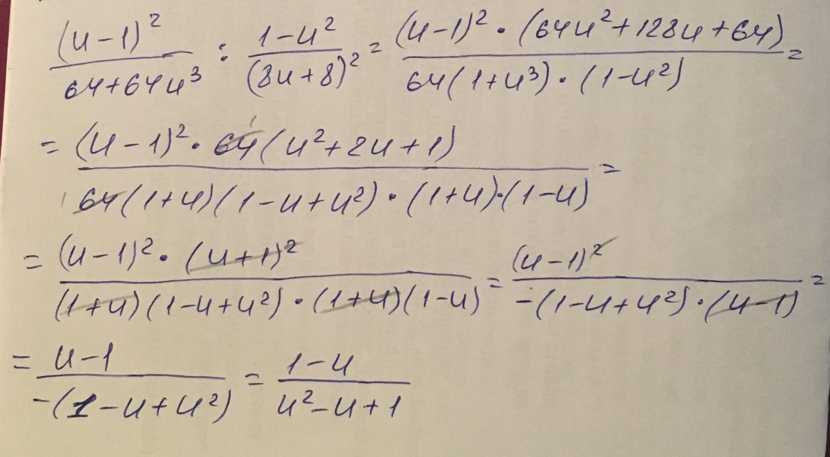
Выполни деление алгебраических дробей
Приложения:
Ответы
Автор ответа:
2
Решение во вложение.
Приложения:
ChelovekGeniy:
Огромное спасибо за помощь!)
Не за что;)
Похожие вопросы
Предмет: История,
автор: nilana13
Предмет: Информатика,
автор: zhasminramazanova25
Предмет: Українська література,
автор: tumkivanna1
Предмет: Литература,
автор: МишаКутуков
Предмет: Математика,
автор: asma71