Предмет: Алгебра, автор: kuzminovanv

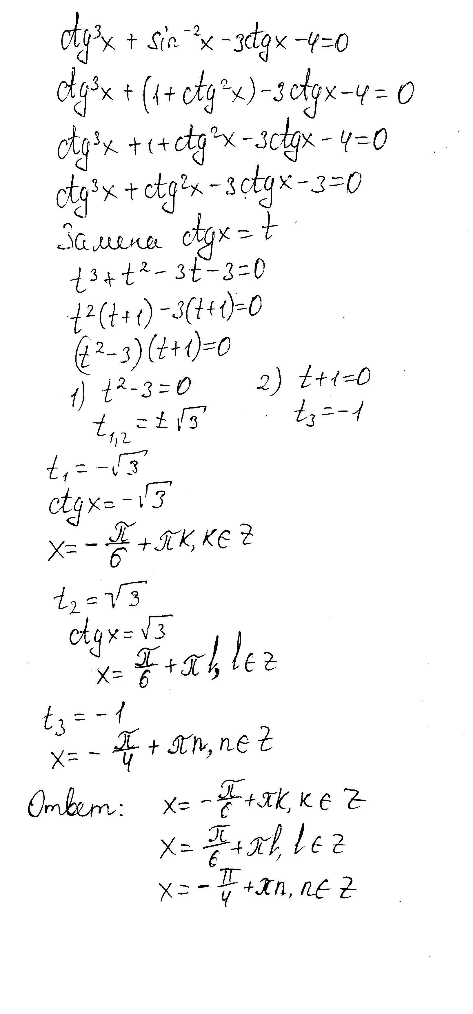
ctg^3x + sin^-2 - 3ctgx -4 =0

Спасибо заранее всем, кто поможет решить.

Ответы

Автор ответа: bearcab
2

Ответ:

x=-\frac{\pi}{6}+\pi*k,\,\,k\in\mathb{Z}

x=\frac{\pi}{6}+\pi*l,\,\,l\in\mathb{Z}

x=-\frac{\pi}{4}+\pi*n,\,\,n\in\mathb{Z}

Объяснение:

Решение в приложении

Воспользуемся тождеством

1+ctg^2x=\frac{1}{\sin^2 x}

Приложения:

kuzminovanv: спасибо большое!
Похожие вопросы
Предмет: Алгебра, автор: ludmilakaas
Предмет: Алгебра, автор: Аноним