Предмет: Математика,
автор: 5fo
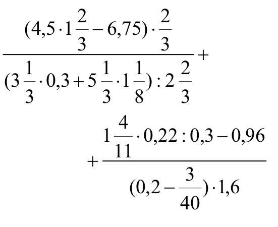
Расставь порядок действий и найди значение выражения
(Фото)
Пожалуйста
Приложения:
Ответы
Автор ответа:
0
Ответ:
Пошаговое объяснение:
Приложения:
Похожие вопросы
Предмет: Українська література,
автор: anastasiyahmil0303
Предмет: Математика,
автор: agycha11
Предмет: Биология,
автор: nizankevicmaria
Предмет: Математика,
автор: lolcatik
Предмет: Математика,
автор: Анимешник223365