Предмет: Математика,
автор: licowom
привет, помогите с математикой пожалуйста
хотя бы что-то решите, я просто вообще 0
файл прикрепил
Приложения:
Ответы
Автор ответа:
1
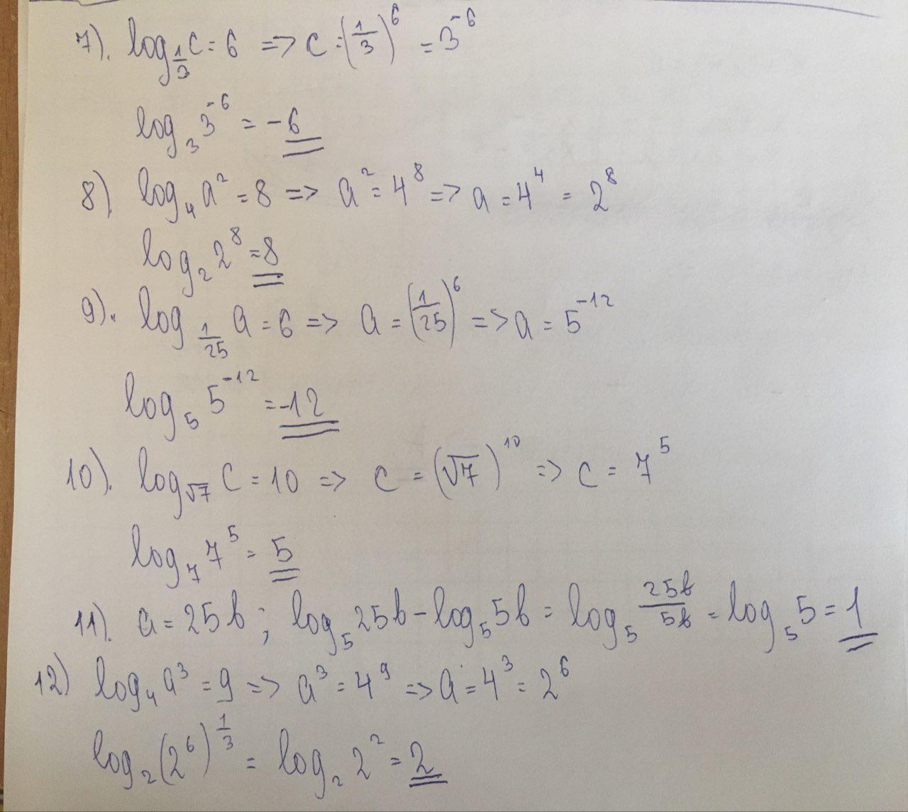
Ответ:
см. фото
Пошаговое объяснение:
Приложения:
mmb1:
2-й и 8-й как решили ???
Похожие вопросы
Предмет: Информатика,
автор: gost6295
Предмет: Музыка,
автор: YLO3105
Предмет: Другие предметы,
автор: danilinedilkl
Предмет: Алгебра,
автор: elizavetaklimenko68
Предмет: Математика,
автор: АняЕдинорожка