Предмет: Алгебра,
автор: cizzeira
Помогите,пожалуйста,буду благодарен
Приложения:
Ответы
Автор ответа:
0
Ответ:
a∈(-∞; 4) ∪ [7,5; +∞)
Объяснение:
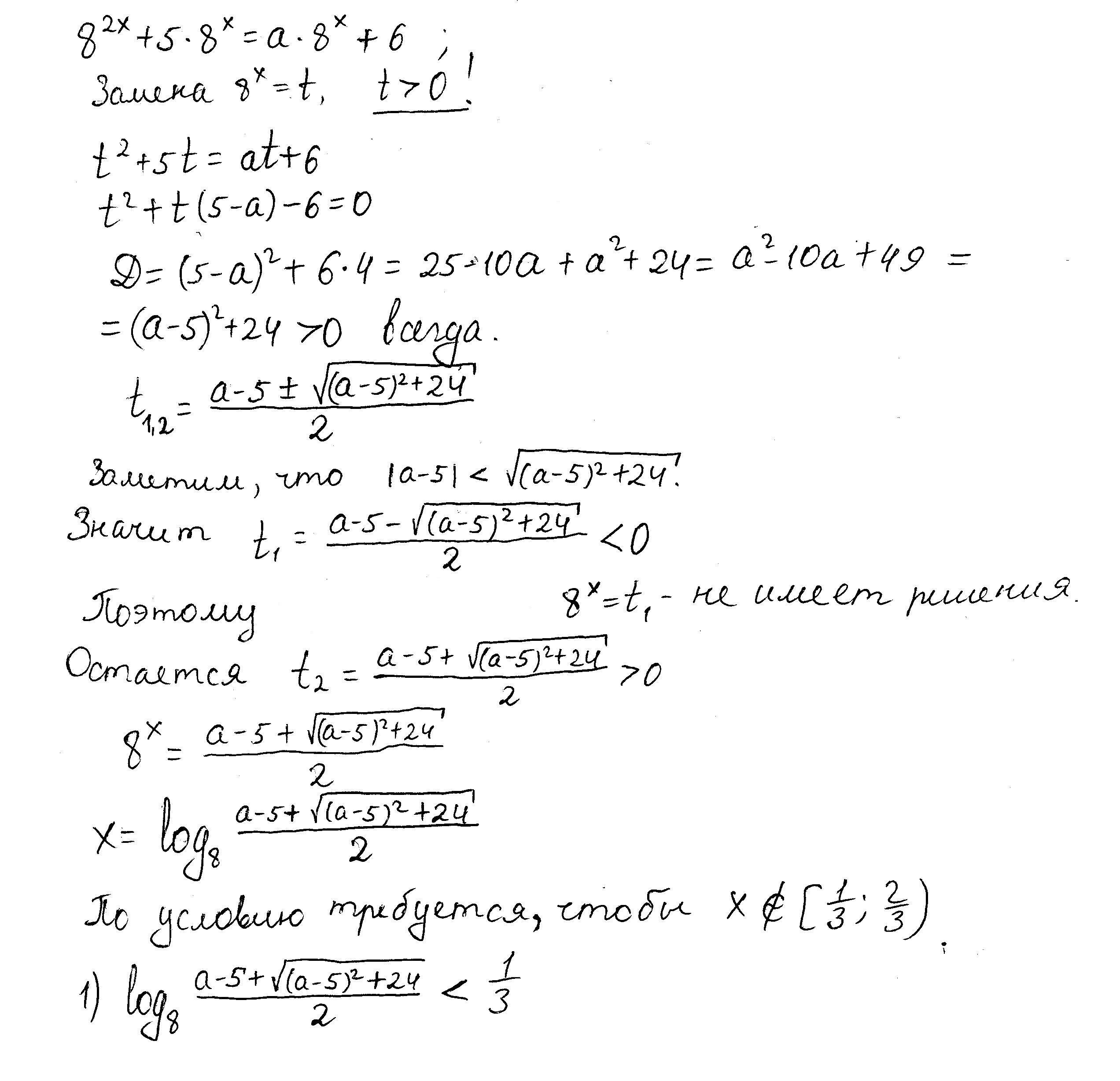
Решение в приложении
Приложения:
Похожие вопросы
Предмет: Математика,
автор: fdsfssfddfsd
Предмет: Физика,
автор: zuzuuu2
Предмет: Математика,
автор: tyuogg
Предмет: Математика,
автор: привет5691
Предмет: Математика,
автор: vgh83