Предмет: Математика, автор: kudashkinaaa

найдите максимум функции y=x^3+4x^2+5x+2

Ответы

Автор ответа: SmEgDm
1

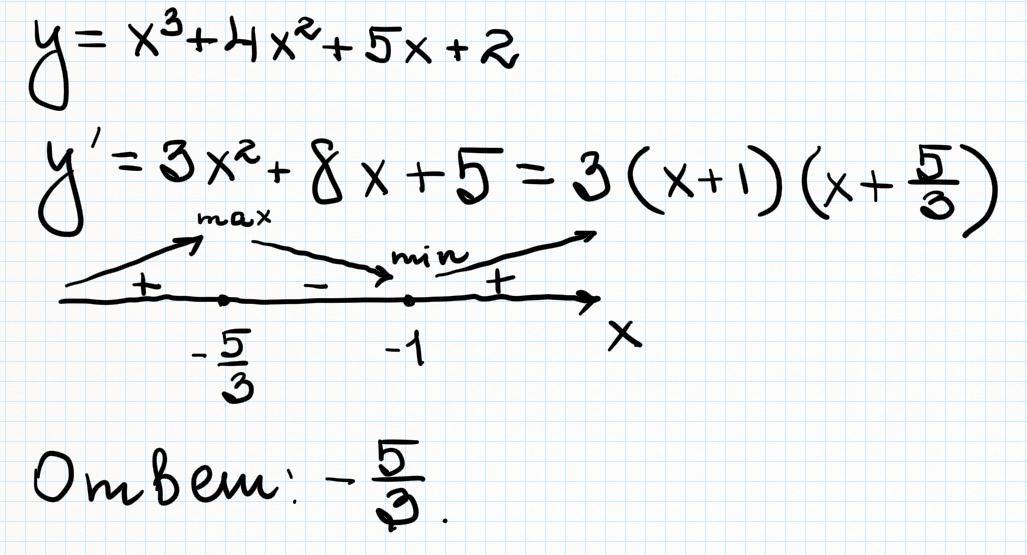
Ответ с решением в приложении.

Приложения:
Автор ответа: Or1g1n
0

Ответ:

Пошаговое объяснение:

(x^{3}+4x^{2}+5x+2)' = 3x^{2}+8x+5\\ 3x^{2}+8x+5=0\\ D=64-4*5*3=4\\x_{1}=\frac{-8-2}{6}=-\frac{10}{6}\\   x_{2}=\frac{-8+2}{6}=-1\\

-10/6 ......... -1

При x=-2

3*4-8*2+5=1

При x=-3/2 или -1.5

3*2.25-8*1.5+5= -0.25

При х=0 будет 5

+ (-10/6) - (-1) +

-1 будет минимумом, т.к. после него идет увеличение функции

-10/6 будет максимумом

Похожие вопросы
Предмет: Геометрия, автор: nastyagish2007