Предмет: Математика,
автор: shahidov2195
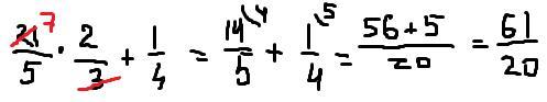
Объясните как решить этот пример:Дробь 2 целых 5\8:3\2+1/4
Ответы
Автор ответа:
0
Ответ:2
2 5/8:3/2+1/4=21/8*2/3+1/4=21*2/8*3 +1/4=7/4+1/4=8/4=2
Пошаговое объяснение:
shahidov2195:
Спасибо JKloveIU
Автор ответа:
0
Ответ:
3,05
Пошаговое объяснение:
Приложения:
Похожие вопросы
Предмет: Литература,
автор: kristina131032
Предмет: Геометрия,
автор: vadyao34
Предмет: Английский язык,
автор: ulbolsyn070603
Предмет: Математика,
автор: КомягинаОльга
Предмет: Химия,
автор: Викуля1515