Предмет: Алгебра, автор: Tryioo

Помоги пожалуйста задание во вложении​

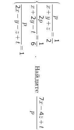
Приложения:

Аноним: 25
Аноним: Мне решать?)
Tryioo: да, помоги срочно
Аноним: Добавил

Ответы

Автор ответа: Аноним
0

Ответ:

Объяснение:

Ответ:

25

Объяснение:

p/(x+y+z)=1/2

2p/(x+2y-t)=1/6

p/(2x-y-z+t)=1

2p=x+y+z

12p=x+2y-t

p=2x-y-z+t

12p-2p=x+2y-t-x-y-z

10p=y-t-z

10p+p=y-t-z+2x-y-z+t

11p=2x-2z

2(x-z)=11p

x-z=5,5p

x=5,5p+z

2p=5,5p+z+y+z

2p-5,5p=2z+y

-3,5p=2z+y

y=-3,5p-2z

p=2(5,5p+z)-(-3,5p-2z)-z+t=11p+2z+3,5p+2z-z+t=14,5p+3z+t

p-14,5p=3z+t

3z+t=-13,5p

t=-13,5p-3z

(7x-4z+t)/p=(7(5,5p+z)-4z-13,5p-3z)/p=(38,5p+7z-4z-13,5p-3z)/p=25p/p=25

Автор ответа: Аноним
2

Перевернем дробь в трех уравнениях, получим систему вида

\begin{cases}&\text{}\dfrac{x+y+z}{p}=2\\&\text{}\dfrac{x+2y-t}{p}=12\\&\text{}\dfrac{2x-y-z+t}{p}=1\end{cases}

Данное решение приводится к методу неопределённых коэффициентов

\dfrac{7x-4z+t}{p}=A\left(\dfrac{x+y+z}{p}\right)+B\left(\dfrac{x+2y-t}{p}\right)+C\left(\dfrac{2x-y-z+t}{p}\right)\\ \\ 7x-4z+t=(A+B+2C)x+(A+2B-C)y+(A-C)z+(C-B)t

Приравниваем коэффициенты при x,y,z,t, получим

\begin{cases}&\text{}A+B+2C=7\\&\text{}A+2B-C=0\\&\text{}A-C=-4\\&\text{}C-B=1\end{cases}~\Rightarrow~\begin{cases}&\text{}B-3C=-7\\&\text{}-B+C=1\\&\text{}A-C=-4\\&\text{}A+2B-C=0\end{cases}~\Rightarrow~\begin{cases}&\text{}C=3\\&\text{}B=2\\&\text{}A=-1\\&\text{}-1+4-3=0\end{cases}

Таким образом, \dfrac{7x-4z+t}{p}=(-1)\cdot 2+2\cdot 12+3\cdot 1=25

Ответ: 25.


Tryioo: Спасибо!
Похожие вопросы
Предмет: Русский язык, автор: maestrovanmo
Запишите текст, выполните орфографические и пунктуационные задания: 1. Образы животных в пр...кладном иску...тве ра...его Средневековья встречаются постоян...о. 2. Это об...ясняется глубокой связью языческих народов с миром природы окружавшим человека с древнейших времен. 3. (Не)удивительно что особое место в изобр...жениях зан...мал образ хищника существо предст...вляющее опасность. 4. (Не)редко такие образы над...лялись сказочными фолькло) чертами напоминали драконов и прочих ф...нт...стических существ. 5. Все пр...дметы искус...тва выполне...ые в это время используют орнамент напом...нающий р...стительность.6. В изобр...жения времени нет ре...листичных деталей они достаточно схематичны изобр...жая людей. 7. Каме...ые ре стенах зданий могут содержать одновреме...о изобр...жения р...стений животных и человека. 8. Кни миниатюры выполнялись на пергаменте тонко выдела...ой телячьей коже.9.Средневековые перепис оформляя книгу делали ее яркой защ...щали стр...ницы надежной деревя...ой обло...кой. 10. Масте богато укр....шали бытовые предметы броши мета...ические зеркала укр...шения рук...ятки ножей шк...тулки. Выполните задания 1-14 1. Найдите ошибочное утверждение, ответ запишите буквой: A) Во времена раннего Средневековья для изготовления книг использовали пергамент. Б) Особое место в изображениях занимал образ хищника?​