Предмет: Химия,
автор: Wolframovskaya
Березан 6.2.42 кто может решить
Приложения:
Ответы
Автор ответа:
2
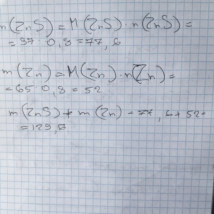
Ответ:
129.6 г
Объяснение:
Для простоти об'єднаємо окиснення сульфіду цинку та цинку в одну реакцію
ZnS + Zn + 2O₂ = 2ZnO + SO₂
З реакції видно, що кількість речовини цинку та цинк сульфіду однакова, що й відповідає умові задачі. За рівнянням реакції кількість речовини кисню вдвічі більша за кількість речовини цинку або цинк сульфіду. Значить кількість речовини цинку та цинку сульфіду буде відповідно по 0.8 моль
Рахуємо масу цинк сульфіду
m(ZnS) = M(ZnS) * n(ZnS) = 97 * 0.8 = 77.6 г
Рахуємо масу цинку
m(Zn) = M(Zn) * n(Zn) = 65 * 0.8 = 52 г
Ну і разом
m(ZnS) + m(Zn) = 77.6 + 52 = 129.6 г
Wolframovskaya:
огромное спасибо❤
Всегда пожалуйста.
можете помочь ?
Автор ответа:
2
вот тебе! решил химию
Приложения:
Похожие вопросы
Предмет: Химия,
автор: dimadolgov3728537
Предмет: История,
автор: zapster
Предмет: История,
автор: kirapetrova2000
Предмет: Алгебра,
автор: black8star
Предмет: Обществознание,
автор: damadynolhervuj