Предмет: Геометрия,
автор: hmagicianh12
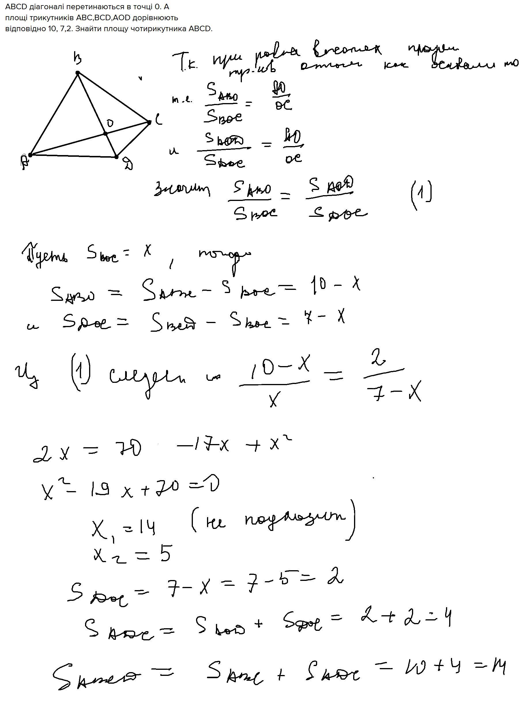
Привіт, ось питання. Нехай в опуклому чотирикутнику АВСD діагоналі перетинаються в точці 0. А
площі трикутників АВС,ВСD,АОD дорівнюють відповідно 10, 7,2. Знайти площу чотирикутника АВСD.
Ответы
Автор ответа:
0
Ответ:Знайти площу чотирикутника АВСD.
Объяснение:
Приложения:
Похожие вопросы
Предмет: Физика,
автор: mixatop9
Предмет: История,
автор: davidzular100
Предмет: Алгебра,
автор: grisenkovalerij80
Предмет: Математика,
автор: Эльмира1315