Предмет: Физика,
автор: vorzakonya
Помогите пожалуйста!
Приложения:
Ответы
Автор ответа:
1
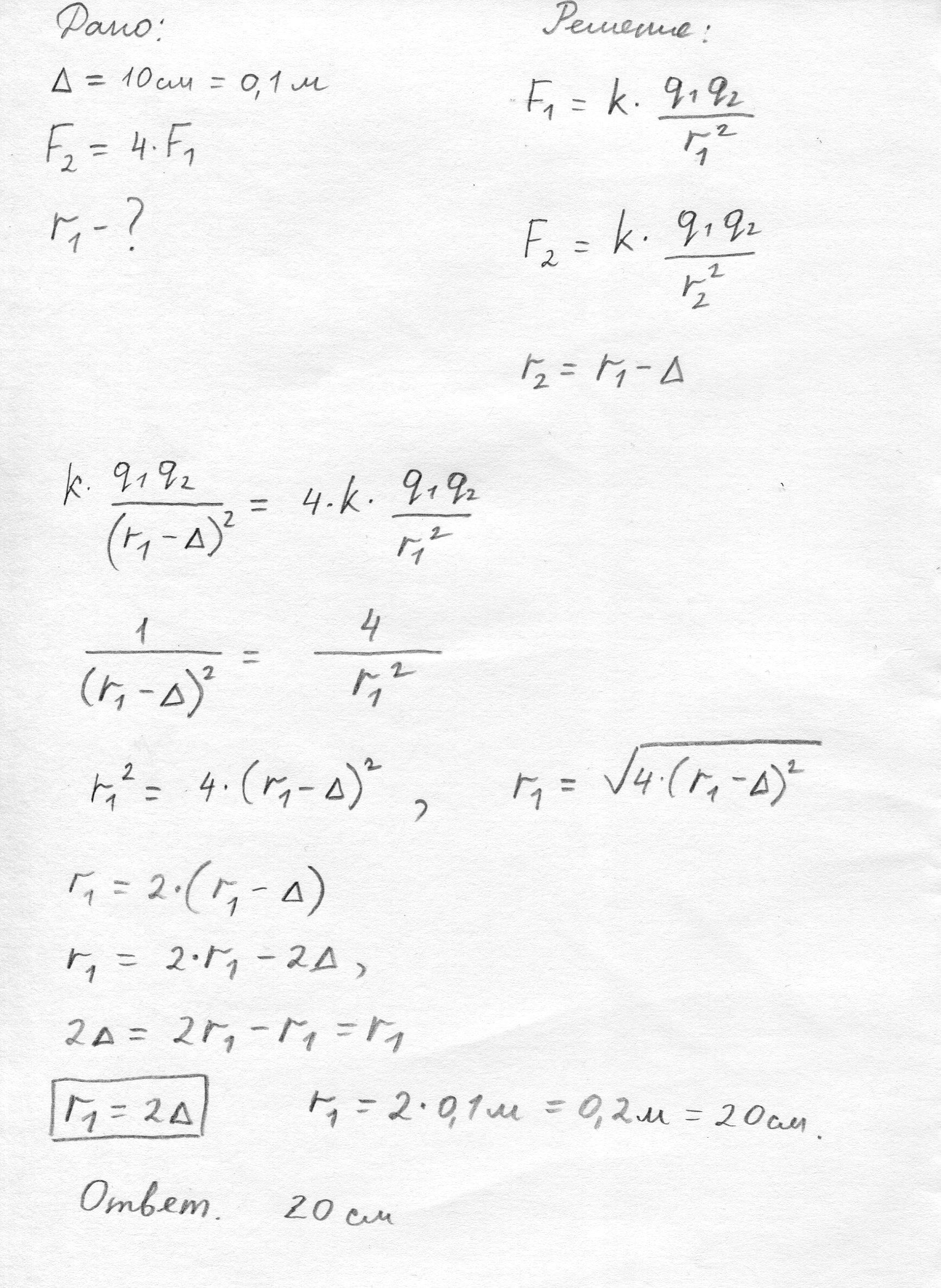
Ответ: D).
Объяснение: см. прикреплённый лист ===>>
Приложения:
Похожие вопросы
Предмет: Математика,
автор: akhmetovaa551
Предмет: Математика,
автор: Аноним
Предмет: География,
автор: gkapustov
Предмет: Математика,
автор: adelyamysyr
Предмет: Математика,
автор: KirillKid