Предмет: Математика, автор: generationcatrin

Тригонометрия. Помогите. Подробнее решение

Приложения:

Ответы

Автор ответа: Аноним
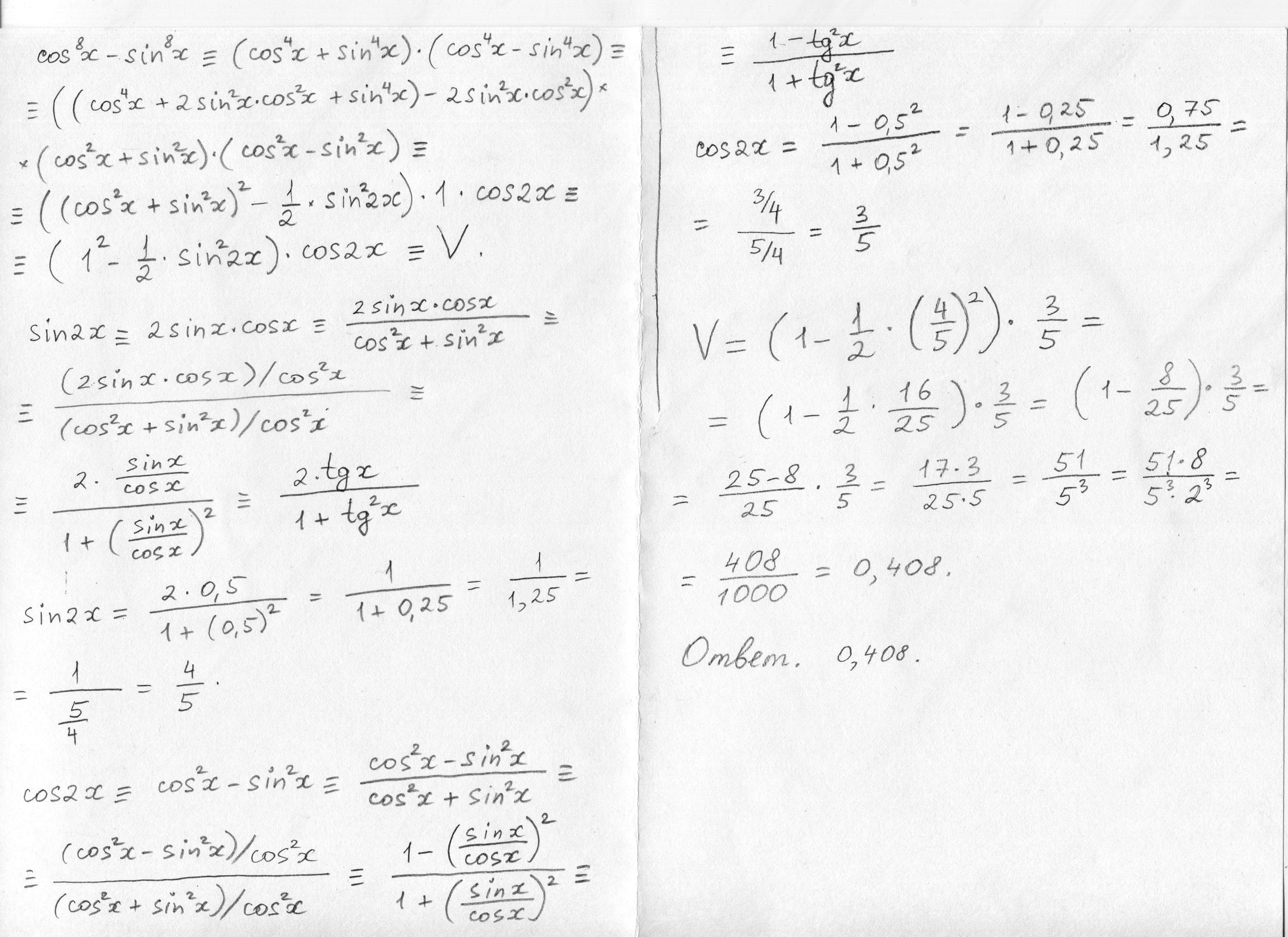
1

Ответ: B).

Пошаговое объяснение:

решение на прикреплённом листочке ===>>

Приложения:
Похожие вопросы
Предмет: География, автор: marrinnaa72
Вопрос 1
Гигантские волны большой длины, возникающие в морях и океанах в результате мощных подводных землетрясений или вулканических извержений.

Вопрос 2
Где происходит зарождение цунами?

Варианты ответов

На дне океана или моря
На поверхности океана или моря
На поверхности земли
В недрах земной коры
Вопрос 3
Укажите основные характеристики цунами.

Варианты ответов

Высота волны
Длина волны
Скорость волны
Мощность волны
Сила волны
Вопрос 4
Укажите признаки угрозы цунами.

Варианты ответов

Сильное землетрясение (моретрясение) с магнитудой в 7,0 и выше по шкале Рихтера.
Землетрясение (моретрясение) с магнитудой ниже 7,0 по шкале Рихтера.
Внезапный и быстрый отход воды от берега на значительное расстояние.
Внезапный и быстрый прилив воды на берег.
Быстрое образование трещин в припае.
Вопрос 5
Оцените интенсивность цунами в баллах по следующему описанию: цунами регистрируется только специальными приборами (морео́графами), а высота волны на берегу не превышает 1 метра.

Вопрос 6
Укажите основные разрушительные эффекты цунами.

Варианты ответов

Огромная скорость
Огромная масса воды
Воздушная волна
Пена и брызги
Вопрос 7
Укажите истинность высказываний.

Варианты ответов

Достаточно точным средством прогноза цунами является необычное поведение животных.
Наиболее опасные места во время цунами - устья рек, суживающиеся бухты и проливы.
Самые безопасные места во время цунами - устья рек, суживающиеся бухты и проливы.
При угрозе цунами нельзя спускаться к морю и смотреть на его обнажившееся дно и наблюдать за волнами.
Если уровень воды в море резко упал, то можно сбегать посмотреть на его дно и пособирать ракушки.
Вопрос 8
При угрозе цунами необходимо

Варианты ответов

При возможности отойти от берега на 2-3 км.
Подняться в горы на 30-40 м.
Спрятаться в подвале здания
Открыть окна и двери в доме
Вопрос 9
Укажите что можно, а что нельзя делать при угрозе и во время цунами.

Варианты ответов

Пережидать угрозу цунами на верхних этажах прочных зданий и сооружений
Выбегать из прочного здания
Стоять возле окон
Вернуться на берег после первой волны цунами
Вопрос 10
Как необходимо осуществлять подготовку к цунами?

Варианты ответов

Следить за сообщениями по прогнозу цунами
Помнить об предвестниках цунами.
Заблаговременно продумать порядок эвакуации.
Иметь перечень документов, имущества и медикаментов на случай эвакуации.
СРОЧНО ТЕСТ ПОМОГИТЕ СДЕЛАТЬ ПОЖАЛУЙСТА
Предмет: Обществознание, автор: Аноним