Предмет: Физика,
автор: pavelbobrakov033
7 класс. Механическая энергия системы тел. Закон сохранения механической энергии.
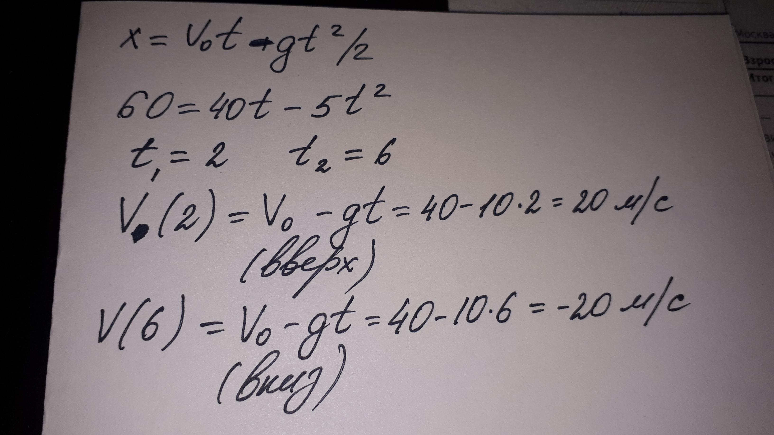
Шарик бросают с поверхности Земли вертикально вверх так, что модуль начальной скорости 40 м/с. Какую скорость будет иметь этот шарик на высоте 60 м.
Куда может быть направлена эта скорость?
Ответы
Автор ответа:
0
Ответ:20 м/с вверх или вниз
Объяснение:
На рисунке
Приложения:
Persianka:
Ой, через закон сохранения энергии это по другому решается.
Смотрите оба способа
Похожие вопросы
Предмет: Русский язык,
автор: tokbaevaaiyda
Предмет: Алгебра,
автор: dashaderkach54
Предмет: География,
автор: aetacc
Предмет: Литература,
автор: emmiemmi
Предмет: История,
автор: sasha14751