Предмет: Алгебра,
автор: murzintrofim
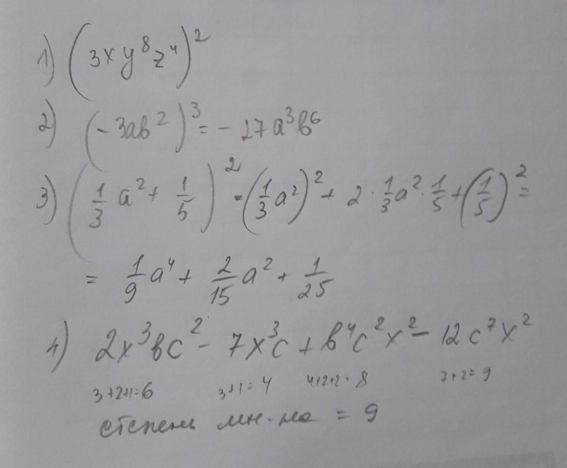
1) запишите выражение 9x^2y^16z^8 в виде квадрата одночлена
2) возведите в куб одночлен -3ab^2
3) преобразуйте в многочлен стандартного вида выражение (1/3a^2 + 1/5)^2
4) определить степень многочлена 2x^3bc^2-7x^3c+b^4c^2x^2-12bc^7x^2
Ответы
Автор ответа:
2
Ответ:
.........................
Приложения:
Похожие вопросы
Предмет: Другие предметы,
автор: lerbesya
Предмет: Физика,
автор: qiwiditch
Предмет: Химия,
автор: saa04022005
Предмет: Математика,
автор: golawl