Предмет: Алгебра,
автор: Globus3000oooo
Помогите пожалуйста!!! Заранее спасибо!!
Приложения:
Ответы
Автор ответа:
0
Ответ:
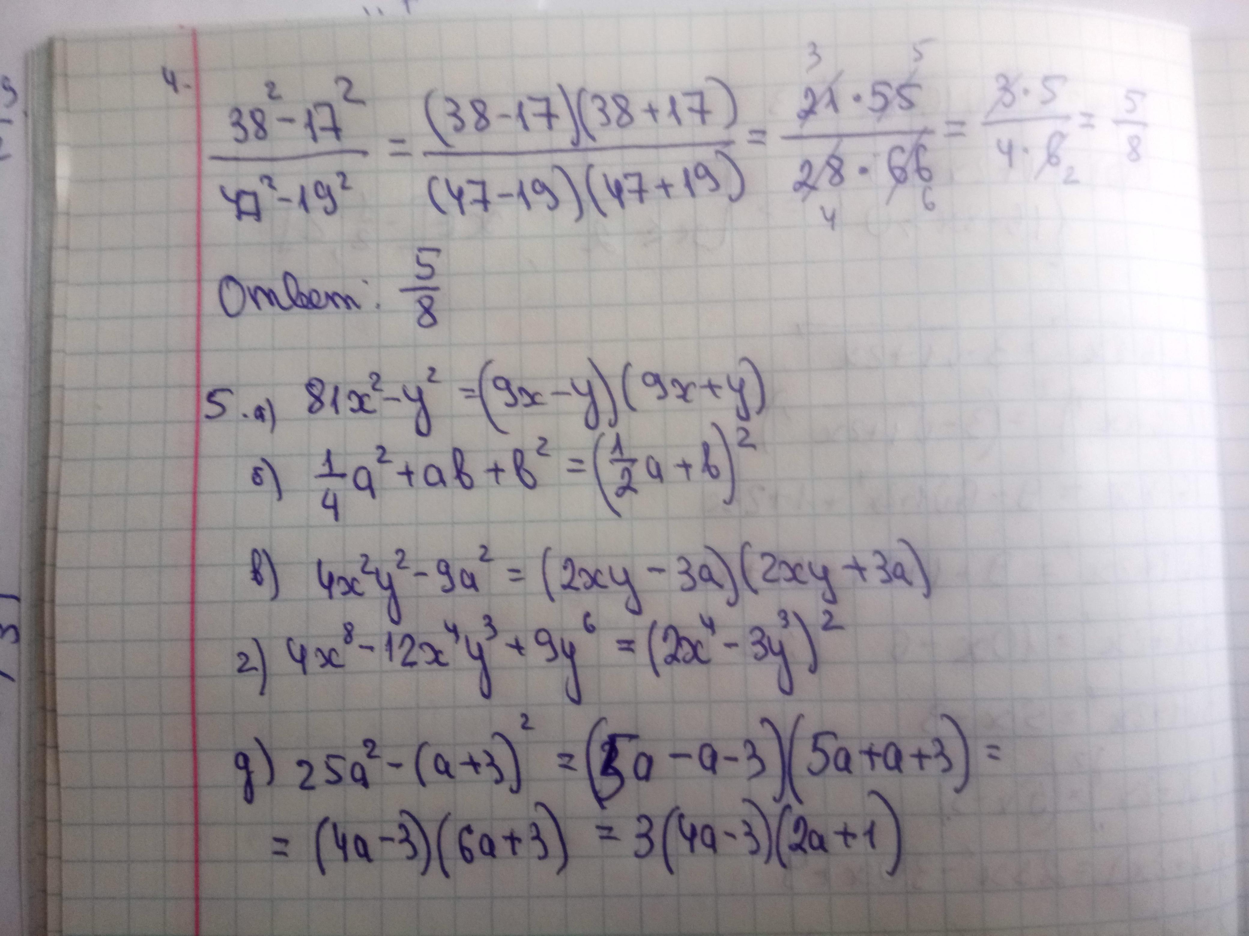
4. 0.625
5. а. (9х-у)(9х+у)
б. (1/2а+в)^2
в. (2ху-3а)(2ху+3а(
г. (2х^4-3у^3)^2
д. (4а-3)(6а+3)
Объяснение:
4. (38-17)(38+17)/(47-19)(47+19)= 21*55/28*66=3*5/4*6=5/4*2=5/8=0.625
Автор ответа:
1
Решение задания приложено
Приложения:
Похожие вопросы
Предмет: Алгебра,
автор: technodom1472xt
Предмет: Русский язык,
автор: butovski1234
Предмет: Алгебра,
автор: vfilipcov
Предмет: Обществознание,
автор: olga01011999
Предмет: Математика,
автор: Аноним