Предмет: Алгебра, автор: AlexLabs557

Помогите пожалуйста!!! Алгебра 8 класс... ​

Приложения:

Ответы

Автор ответа: artalex74
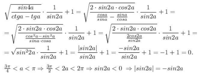
1

\sqrt{\dfrac{sin4a}{ctga-tga}}\cdot\dfrac{1}{sin2a}+1=\sqrt{\dfrac{2\cdot sin2a\cdot cos2a}{\frac{cosa}{sina}-\frac{sina}{cosa} }}\cdot\dfrac{1}{sin2a}+1=\\\\=\sqrt{\dfrac{2\cdot sin2a\cdot cos2a}{\frac{cos^2a-sin^2a}{sina\cdot cosa}}}\cdot\dfrac{1}{sin2a}+1=\sqrt{\dfrac{2\cdot sin2a\cdot cos2a}{\frac{2cos2a}{sin2a}}}\cdot\dfrac{1}{sin2a}+1=\\\\=\sqrt{sin^22a}\cdot\dfrac{1}{sin2a}+1=\dfrac{|sin2a|}{sin2a}+1=\dfrac{-sin2a}{sin2a}+1=-1+1=0.

\frac{3\pi}{4}<a<\pi\Rightarrow \frac{3\pi}{2}<2a<2\pi\Rightarrow sin2a<0\ \Rightarrow |sin2a|=-sin2a

Приложения:
Похожие вопросы