Предмет: Алгебра, автор: inkamove

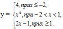
Побудуйте графік функції:

Приложения:

Ответы

Автор ответа: tumanov2004
0

.......................................

Приложения:
Похожие вопросы
Предмет: Геометрия, автор: marrs55
Предмет: Английский язык, автор: lusenkoyana
Предмет: Немецкий язык, автор: HelpxMaryam
Предмет: Алгебра, автор: fovita