Предмет: Математика,
автор: maqnlep6lmvj
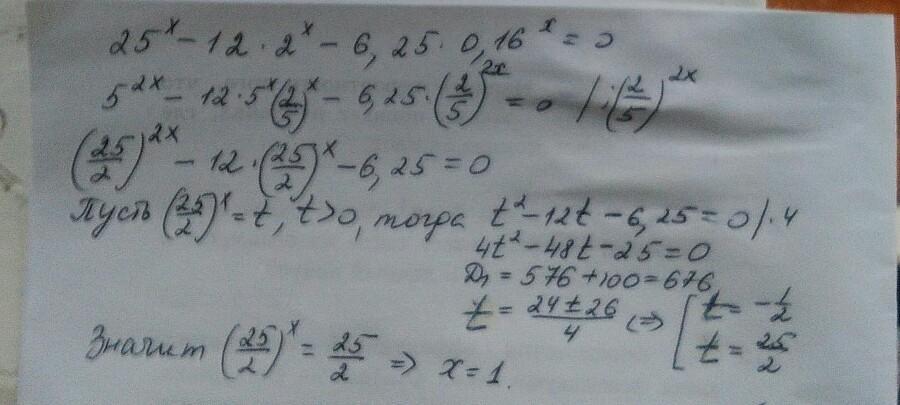
решите показательное уравнение :
25^х-12*2^х-6.25*0.16^х=0
Ответы
Автор ответа:
0
Ответ:
решение представлено на фото
Приложения:
Похожие вопросы
Предмет: Алгебра,
автор: mariakovalenkokk
Предмет: Биология,
автор: EnDoLfiN
Предмет: Математика,
автор: 222malaya222
Предмет: История,
автор: ÅpćŤāH
Предмет: Математика,
автор: Moscow523