Предмет: Алгебра,
автор: dmitriy095033
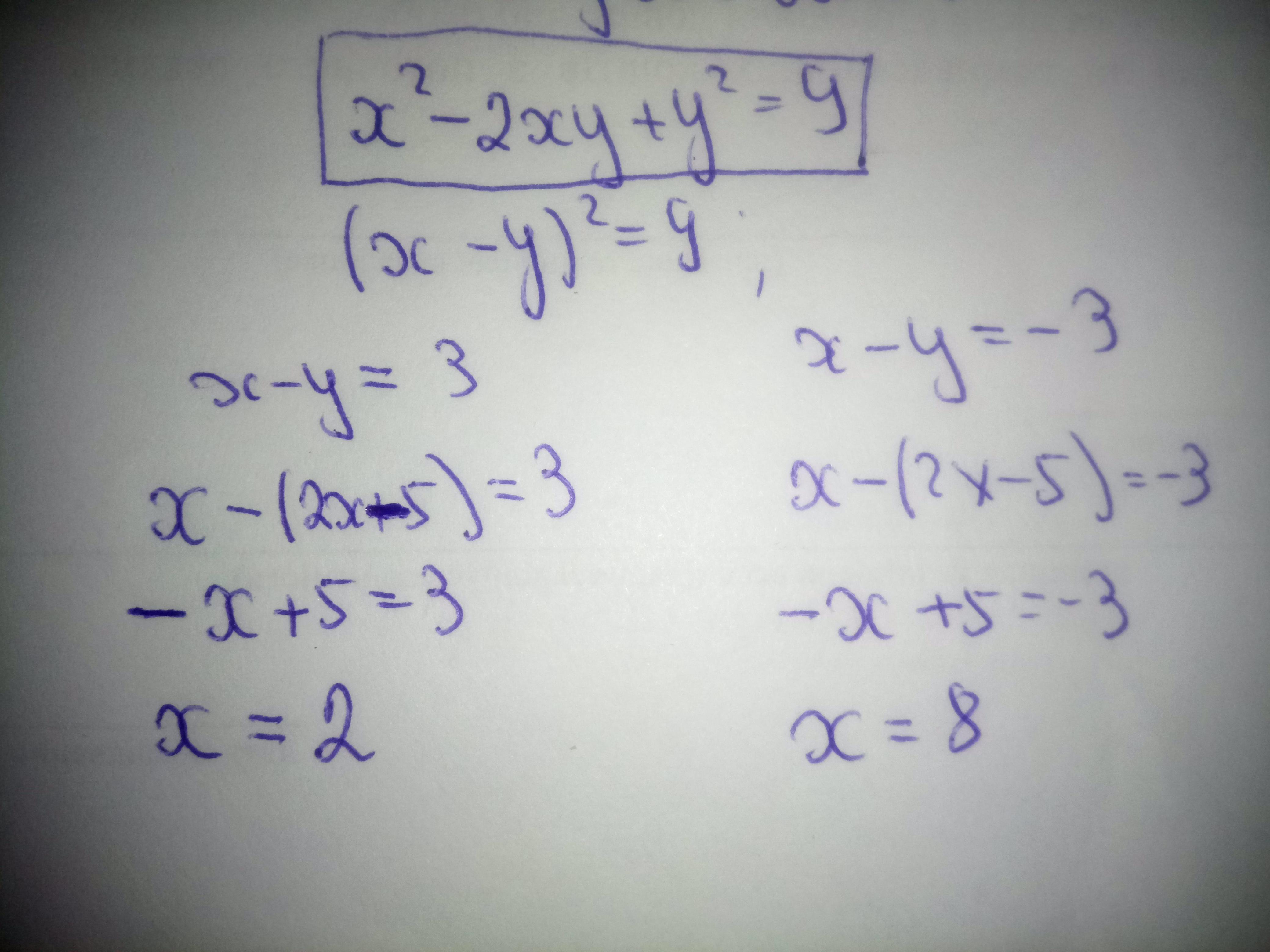
ТОЛЬКО ОБЬЯСНИТЬ! Прошу объясните как так получилось, достаточно только понимать. Снизу вы видите мое решение, но я решил сверить это решение в одной программе и там получился такой же ответ только с противоположными знаками, тоесть (+2 и +8) Где я ошибся? !
Приложения:
dmitriy095033:
Спасибо, уже решили :)
Ответы
Автор ответа:
3
Смотри, ты подставил свои там значения вместо y, и в строке где ты начал сокращать и есть ошибка, ты квадрата суммы неправильно раскрыл. Забыл добавить удвоенное произведение первого числа на второе, т.е. ещё должна быть в той строке вот такая штука "-20х"
Приложения:
Автор ответа:
3
Посмотрите, где у вас ошибка. + решение без D.
Приложения:
Похожие вопросы
Предмет: Физика,
автор: sergey18110
Предмет: Литература,
автор: Аноним
Предмет: Українська мова,
автор: aniznik149
Предмет: Биология,
автор: Lisik11
Предмет: Математика,
автор: dashyli2004