Предмет: Алгебра, автор: Wolf542

Помогите упростить выражение, и желательно с решением)

Приложения:

Ответы

Автор ответа: maymr
0

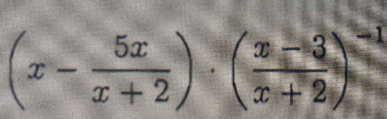
(x-\frac{5x}{x+2})(\frac{x-3}{x+2})^-^1=(\frac{x(x+2)-5x}{x+2})(\frac{x+2}{x-3})=\\\\=(\frac{x(x-3)}{x+2})(\frac{x+2}{x-3}))=\frac{x}{1}=x

Ответ: х.

Похожие вопросы
Предмет: Геометрия, автор: rita8181818199101
Предмет: География, автор: candy27