Предмет: Математика,
автор: katerniakvasylyna
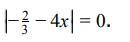
Решить уравнение
Правильный ответ должен быть : -1/6
Приложения:
Ответы
Автор ответа:
1
Ответ:
Пошаговое объяснение:
-4x=2/3 умножим все выражение все на 3
-12х= 2
12х= -2
х=- 1/6
Похожие вопросы
Предмет: Математика,
автор: ivanborodin21052009
Предмет: Русский язык,
автор: lillosokeno
Предмет: Физика,
автор: suakbaevmansur
Предмет: Химия,
автор: dasha6662
Предмет: Литература,
автор: svetlana19891