Предмет: Алгебра, автор: redcrafthost

Решите систему уравнений:
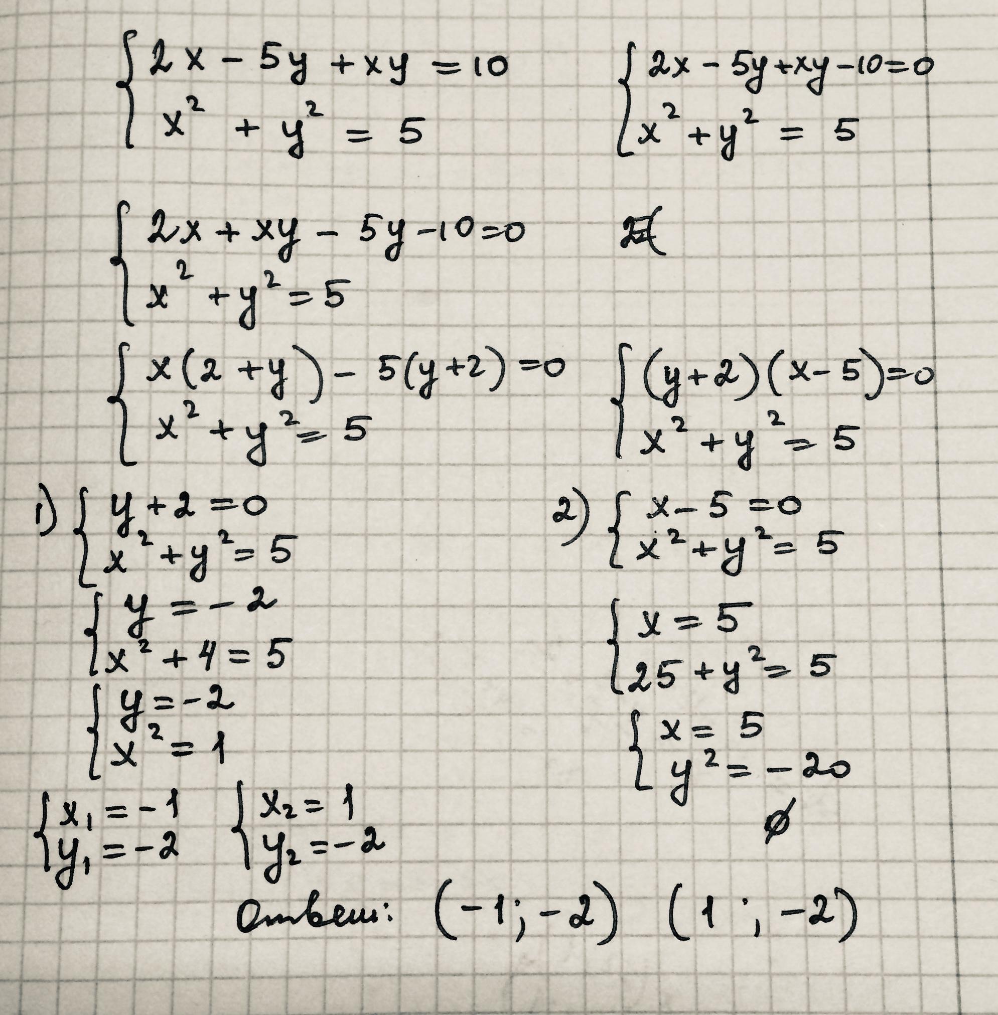
\left \{ {{2x - 5y + xy = 10} \atop {x^2 + y^2 = 5}} \right.


sherlok123321: условие точное??
sherlok123321: ответ бешеный выходит
maksimcat: ответ красивый (-1;-2) (1;-2)
maksimcat: первое уравнение раскладываем на множители
maksimcat: (y+2)(x-5)=0
sherlok123321: а не проще х выразить?
sherlok123321: как получить это выражение...
sherlok123321: а, понял
redcrafthost: Maksimcat, будьте добры, покажите решение.

Ответы

Автор ответа: maksimcat
9

Ответ:

Объяснение:

Ответ на фото////////////////:////

Приложения:

sherlok123321: красиво
Похожие вопросы
Предмет: Русский язык, автор: yradnegel
Помогите пожалуйста!
Часть 1.
1.В каком слове звуков больше, чем букв?
якорь
земля
уголь
пояс
2. В каком слове ударение падает на второй слог?
формировать
начал
торты
закупорить
3. В каком слове при произношении происходит озвончение согласного звука?
экзамен
подвиг
сквозняк
сменяться
4. Найдите предложение с грамматической ошибкой.
Директор гордился своими шестьюдесятью победителями конкурсов и олимпиад.
Она перемерила несколько пар туфлей.
Занятия ведут опытные профессора и доценты.
Мы надеемся на более светлое будущее.
5. В каком слове нет суффикса - к -?
тяпка
сортировка
сварка
пряжка
6. В каком ряду во всех словах пропущена безударная гласная, проверяемая ударением?
препод…вать, пол…гается, упр…щать
предст…вляется, назн…чение, уг…сать
д…роженька, ф…соль, к…рниз
пригл…шать, скр…пит, заг…релся
7. В каком ряду во всех словах пропущена одна и та же буква?
холщ…вый, р…весник, пч..лка
к…мандир, зар…сли, гол…вка
дверц…й, изл…гать, упр…стить
заг…релый, б…хрома, к…сить
8. В каком ряду все слова имеют корни с чередующейся гласной?
соед…нение, от…гощать, т…рраса
забл…стел, проб…раться, прик…сновение
изв…нился, р…кета, предл…жу
в…кзал, дост…жение, подр…сту
9. В каком ряду во всех словах на месте пропуска пишется ь?
дрож…, могуч…, думаеш…
шест…десят, рож…, стрич…
восем…надцать, намаж…
хвощ…, помощ…, много задач…
10. В каком ряду во всех словах на месте пропуска пишется нн?
серебря…ный, клюкве…ый, обществе…ный
льви…ый, каме…ый, коллекцио…ый
торжестве…ый, каме..ый, стари…ый
ветре…ый, письме…ый, безлу…ый
11. В каком ряду все слова пишутся слитно?
(не) здоровится, (ни) кому, (черно) морский
(со) мной, (не) сколько, (горно) лыжный
(северо) восточный, (зелено) глазый, (не) лепый
(не) хороший, (северо) запад, (пол) яблока
12. В каком случае значение слова определено неверно?
Азарт- равнодушие, безразличие
Агрессивный – захватнический, вызывающий
Аристократ – представитель высшего родовитого строя (например, дворянства)
13. Отметьте предложение, в котором есть однородные члены. Знаки не расставлены.
Небо уже не гремело не грохотало а издавало трескучие звуки.
Научитесь находить чарующую красоту в окружающей жизни!
О нём никогда никто не сказал ни одного худого слова.
14. В каком предложении знаки препинания при прямой речи расставлены неправильно?
Все засмеялись и закричали «Да здравствует король!».
«Как ты сюда попал?» - спросил друг.
«Подойдите сюда», - сказала девочка.
15. Укажите предложение, в котором пропущен один знак (запятая, тире, двоеточие).
Утром стюардесса принесла лёгкий завтрак йогурт и кофе.
Врач разрешил приносить больному кефир и соки.
Мой милый пёс радостно лаял.
Часть 2.
Прочитайте предложения, выполните задания 1-4.
1. В каком порядке должны следовать предложения, чтобы получился текст?
А.Вечерняя заря начинается, когда солнце уже зайдёт за край земли.
Б.Заря медленно переходит в поздние сумерки и в ночь.
В.Заря бывает не только утренняя, но и вечерняя.
Г.Тогда она овладевает меркнущим небом, разливает по нему множество красок – от червонного золота до бирюзы.
1) Б, Г, В ,А 2)В,Г,А,Б 3)Б,В,Г,А 4)В,А,Г,Б
2.Выпишите из текста существительное 3 склонения.
3.Выпишите из предложения А слово, которое соответствует схеме (корень, суффикс, окончание).
4.У какого слова из текста неправильно определены грамматические признаки?
переходит – непереходный глагол
утренняя – относительное прилагательное
край – существительное в винительном падеже
она – личное местоимение
Часть 3.
1.Определите стиль текста. Почему вы так считаете?
научный
разговорный
художественный
официально - деловой
2.Определите тип речи. Докажите своё мнение.
рассуждение
повествование
описание
3.какими художественно-выразительным средством языка является выделенное слово?
метафора
сравнение
олицетворение
эпитет
Выделенное слово - червонного золота
Предмет: Математика, автор: Амиир