Предмет: Физика,
автор: Аноним
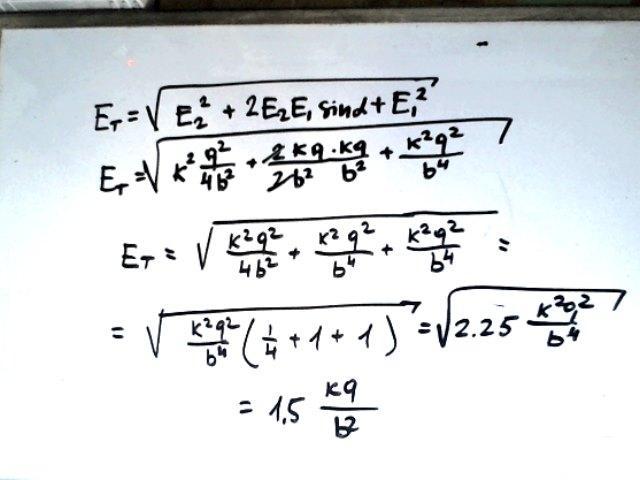
Помогите пожалуйста с физикой
Приложения:
Ответы
Автор ответа:
0
Ответ:
Помогите пожалуйста с физикой
Объяснение:
Приложения:
elimofetoyp1j9:
Во второй и третьей строчках 4b^4
Похожие вопросы
Предмет: Биология,
автор: litovkinaariadna
Предмет: Українська мова,
автор: vikapleskanova
Предмет: Математика,
автор: gastfaspo
Предмет: Литература,
автор: Azazel96
Предмет: История,
автор: сёмасоня