Предмет: Алгебра,
автор: banan4ik1232
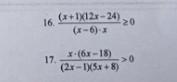
Нужна помощь решить пару примеров
Приложения:
Ответы
Автор ответа:
0
Ответ:
Ответ внизу на фото
Объяснение:
Приложения:
Похожие вопросы
Предмет: Обществознание,
автор: stepanmaiyshev06
Предмет: Українська мова,
автор: vcvigue7
Предмет: Математика,
автор: nastyamamygina
Предмет: История,
автор: Аноним
Предмет: Математика,
автор: попошка228