Предмет: Физика,
автор: pimdenis2013
Срочно! Помогите время ограничено
Приложения:
Ответы
Автор ответа:
1
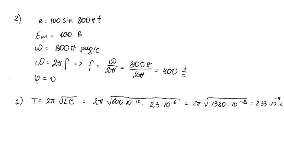
....................................
Приложения:
Похожие вопросы
Предмет: Биология,
автор: zhannursaiabek24
Предмет: История,
автор: Sciensist
Предмет: Қазақ тiлi,
автор: valeriadushenko64838
Предмет: Информатика,
автор: перечислитеосновные
Предмет: Химия,
автор: sonyakim21