Предмет: Математика,
автор: albina7252
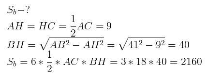
Найдите площадь боковой поверхности правильной шестиугольной пирамиды стороны основания которой равны 18,а боковые рёбра 41
Ответы
Автор ответа:
0
Рассмотрим одну из граней пирамиды (приложение):
Приложения:
Похожие вопросы
Предмет: Математика,
автор: Аноним
Предмет: Русский язык,
автор: Bepuk007
Предмет: История,
автор: kristinaderkaceva449
Предмет: Математика,
автор: tahirsultanov
Предмет: Математика,
автор: 65657887max