Предмет: Математика,
автор: dyus6661
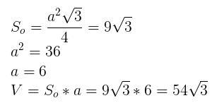
Найти объем правильной треугольной призмы, боковые грани которой являются квадратами, а площадь основания равна
Ответы
Автор ответа:
1
Решение в приложении:
Приложения:
Похожие вопросы
Предмет: Химия,
автор: titaniumegor1
Предмет: История,
автор: Hokkko
Предмет: Русский язык,
автор: ilyakharchenko78
Предмет: Математика,
автор: Umoino
Предмет: Литература,
автор: yakunenkovaanna