Предмет: Информатика,
автор: xxksjdoll
СРОЧНО.
ДАЮ 50 БАЛЛОВ
Приложения:
Ответы
Автор ответа:
1
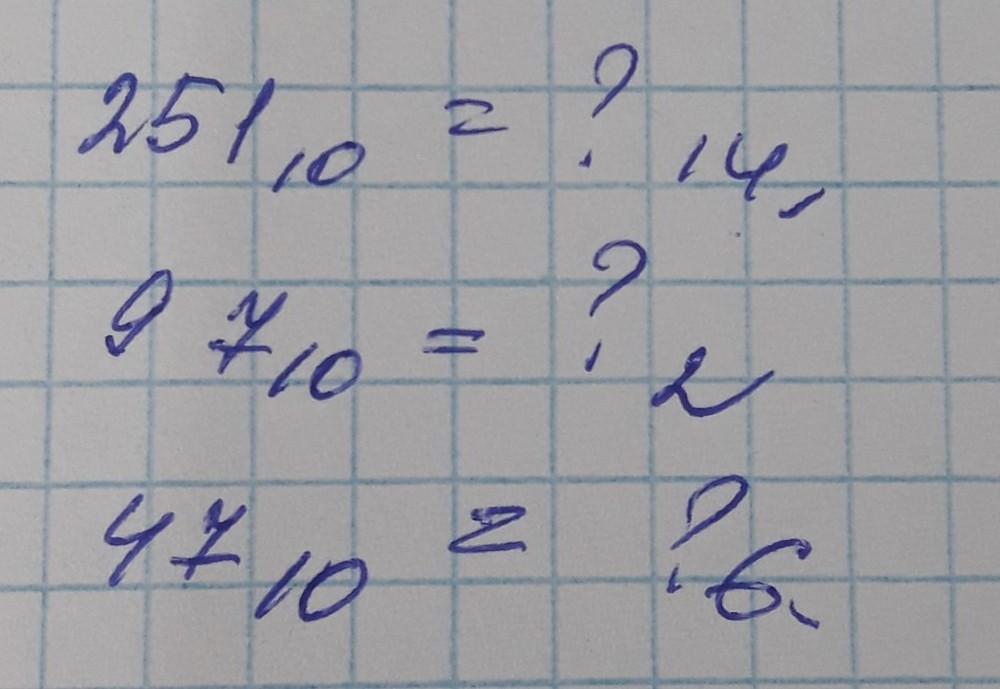
251¹⁰=125¹⁴¹
97¹⁰= 64²
47¹⁰= 23,5⁶
Автор ответа:
1
Ответ:
251 ¹⁰ = 125 ¹⁴¹ ,
97 ¹⁰ = 64 ²
47 ¹⁰ = 23 , 5⁶
Похожие вопросы
Предмет: Геометрия,
автор: king4643748
Предмет: Русский язык,
автор: plesovskikhdd1812
Предмет: Математика,
автор: raksanaeshonturaeva
Предмет: Математика,
автор: Shoola006
Предмет: Алгебра,
автор: glamdunov