Предмет: Математика,
автор: ddaarrkkk
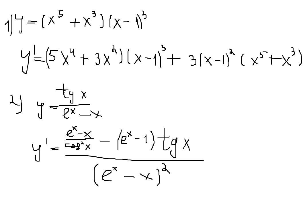
Найти производную функции:
1) y=(x⁵+x³) · (x-1)³
2)
-------------------------------------------------------------------------
y=(x^5=x^3)*(x-1)^3
y=tgx/e^x-x
Ответы
Автор ответа:
0
Ответ:
Пошаговое объяснение:
вот
Приложения:
Похожие вопросы
Предмет: Математика,
автор: IlyhaNasedkin2176
Предмет: Математика,
автор: natkotic709
Предмет: Алгебра,
автор: Arbuzikik6355
Предмет: География,
автор: dinka87holod
Предмет: Математика,
автор: никитос168