Предмет: Математика,
автор: nkit2016
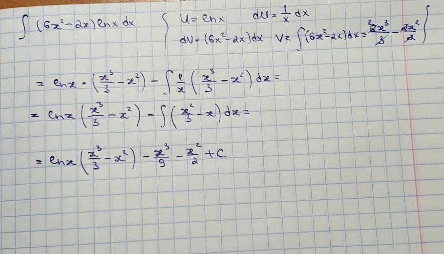
Помогите решить интегралы срочно!!!
Приложения:
Ответы
Автор ответа:
0
Ответ:
решение на фотографии
Приложения:
Похожие вопросы
Предмет: Английский язык,
автор: igorkuznechik767
Предмет: Информатика,
автор: vladimirovavasilisa0
Предмет: Қазақ тiлi,
автор: Аноним
Предмет: Математика,
автор: ilsurziazov