Предмет: Математика,
автор: Gangster322
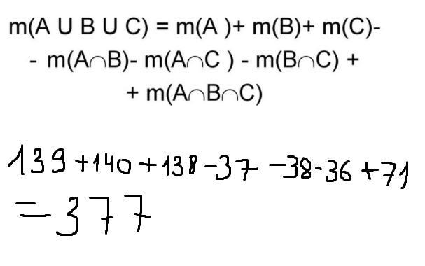
На олимпиаде по математике было предложено три задачи. Первую задачу решили 139 учащихся, вторую задачу - 140 учащихся, третью задачу - 138 учащихся, первую и вторую - 37 учащихся, первую и третью - 38, вторую и третью - 36, не менее двух задач решили 71 учащихся. Сколько учащихся решили хотя бы одну задачу?
Ответы
Автор ответа:
2
Эта задача на применение формулы включений и исключений 3 множеств.
Ответ: 377
Приложения:
Похожие вопросы
Предмет: Математика,
автор: adiakasymhanova2
Предмет: Биология,
автор: lenaro3578
Предмет: Химия,
автор: tyurikova2008al
Предмет: Обществознание,
автор: 123456789851
Предмет: Литература,
автор: норка2008