Предмет: Математика, автор: vormsbeher

Пожалуйста помогите с неравенством! Нужно подробное решение.
|х+4|/(х-2) >=0

Приложения:

Ответы

Автор ответа: snopikvova629
1

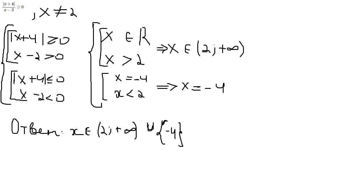
Ответ:

Пошаговое объяснение:

вот

Приложения:
Автор ответа: table123
0

Ответ:

Пошаговое объяснение:

1)  x+4/x-2>=0, если x+4>=0, x>=-4    +____ -4__-__о2___+_   и добавим  x>=-4,  получим   x>2

2)x+4/x-2<=0, если x+4<=0, x<=-4     +____-4__-__о2__+___, здесь х=-4

Ответ:  -4; (2; +~)

Похожие вопросы
Предмет: Алгебра, автор: lelik8458
Предмет: Математика, автор: Dzudoistkg4593
Предмет: Математика, автор: keretsman8832