Предмет: Алгебра, автор: Bassvad

Клубника стоит 180 рублей за килограмм,а малина - 200 рублей за килограмм. На сколько процентов клубника дешевле малины?

Ответы

Автор ответа: daniilzhulanov
1

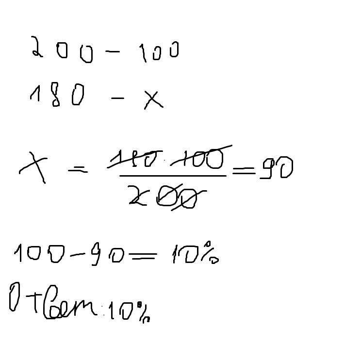
Привет!

200 — 100%

180 — х%

200х=180*100

200х=18000

х= 90

100%-90% = на 10% клубника дешевле малины

Ответ: на 10%

Автор ответа: Аноним
0

Ответ:

Объяснение:

вот

Приложения:
Похожие вопросы
Предмет: Математика, автор: yzaechcaf5807
Предмет: Алгебра, автор: kAkAOq4392
Предмет: Алгебра, автор: SERIO6750
Предмет: Обществознание, автор: Aleksandrablya1416