Предмет: Математика,
автор: neezhko2013
Помогите решить, пожалуйста!!!
Приложения:
Ответы
Автор ответа:
1
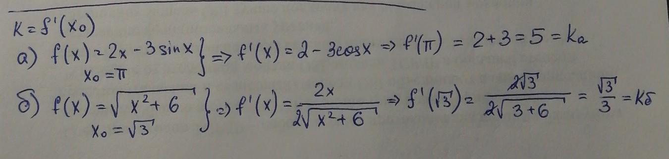
смотри ответ на фотографии
Приложения:
neezhko2013:
Спасибо большое!)
Похожие вопросы
Предмет: Геометрия,
автор: karratusha
Предмет: Английский язык,
автор: foxydy23232
Предмет: Математика,
автор: vinnichukyana0810
Предмет: Математика,
автор: AkatsukiAngel
Предмет: Алгебра,
автор: eraliya2004