Предмет: Математика,
автор: beka0109
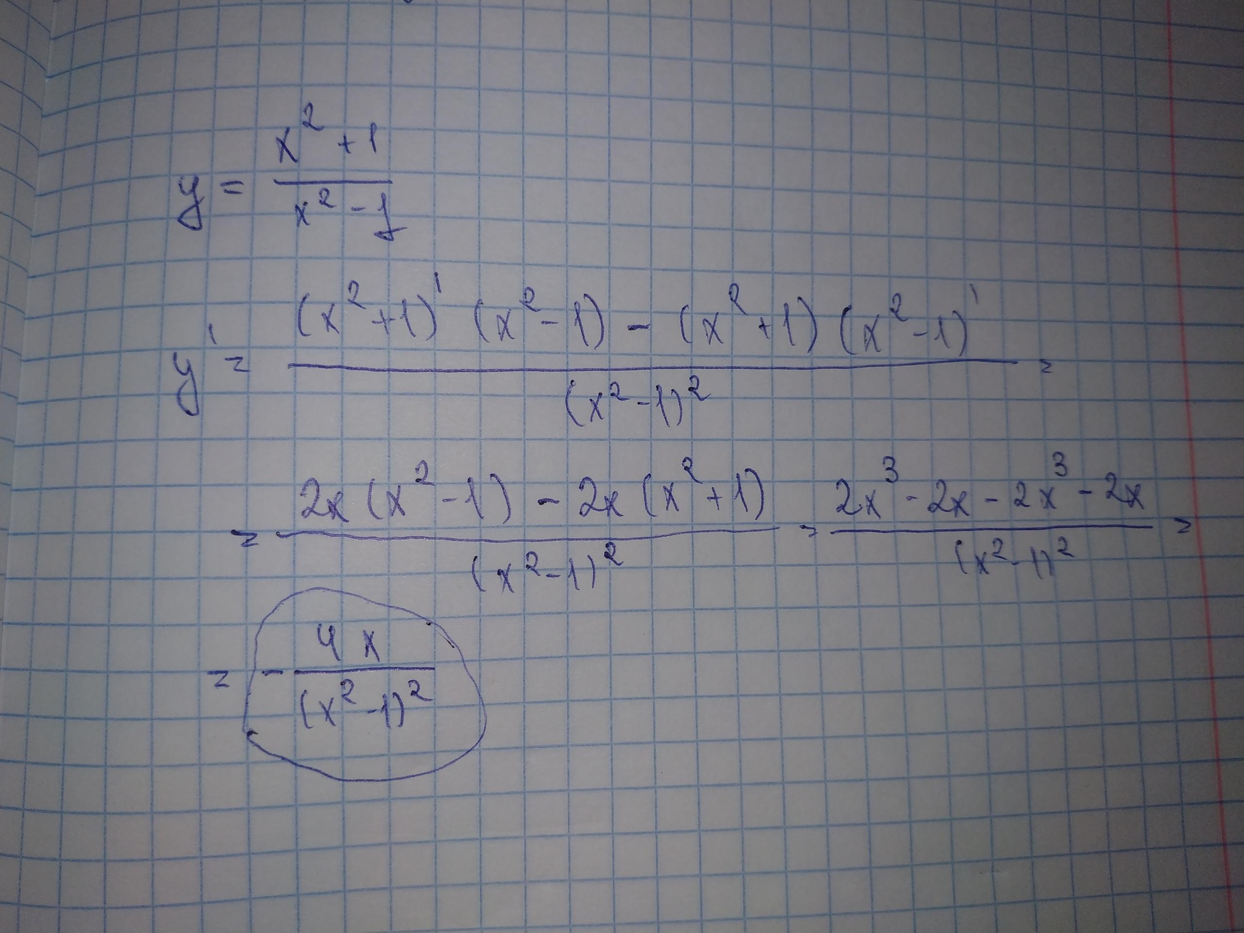
Нужно найти производную, написать не могу, есть фотография, можете помочь?
Приложения:
Ответы
Автор ответа:
1
////////////////////////////
Приложения:
beka0109:
Спасибо за ответ, возможно ли сделать это задание с графиком и длинным решением, очень нужно, еще раз спасибо!
Похожие вопросы
Предмет: Литература,
автор: kaindinaelena
Предмет: МХК,
автор: arseniyunich3008
Предмет: Алгебра,
автор: nataliazueva4118
Предмет: Обществознание,
автор: Аноним
Предмет: Математика,
автор: настя5032