Предмет: Математика,
автор: esacenko
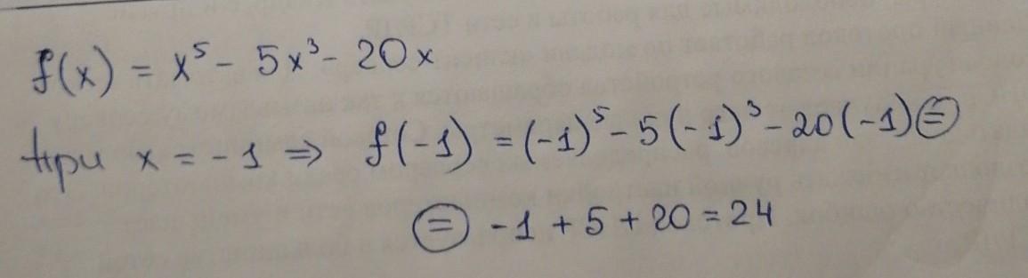
f(x)=x^5 - 5x^3 - 20x. При x=-1
Ответы
Автор ответа:
2
Смотри ответ на фотографии
Приложения:
Похожие вопросы
Предмет: Математика,
автор: mlamanov93
Предмет: Русский язык,
автор: madestbella
Предмет: Українська література,
автор: 12341345
Предмет: Биология,
автор: ффф9
Предмет: Химия,
автор: tischkinalena2