Предмет: Математика, автор: pandana94

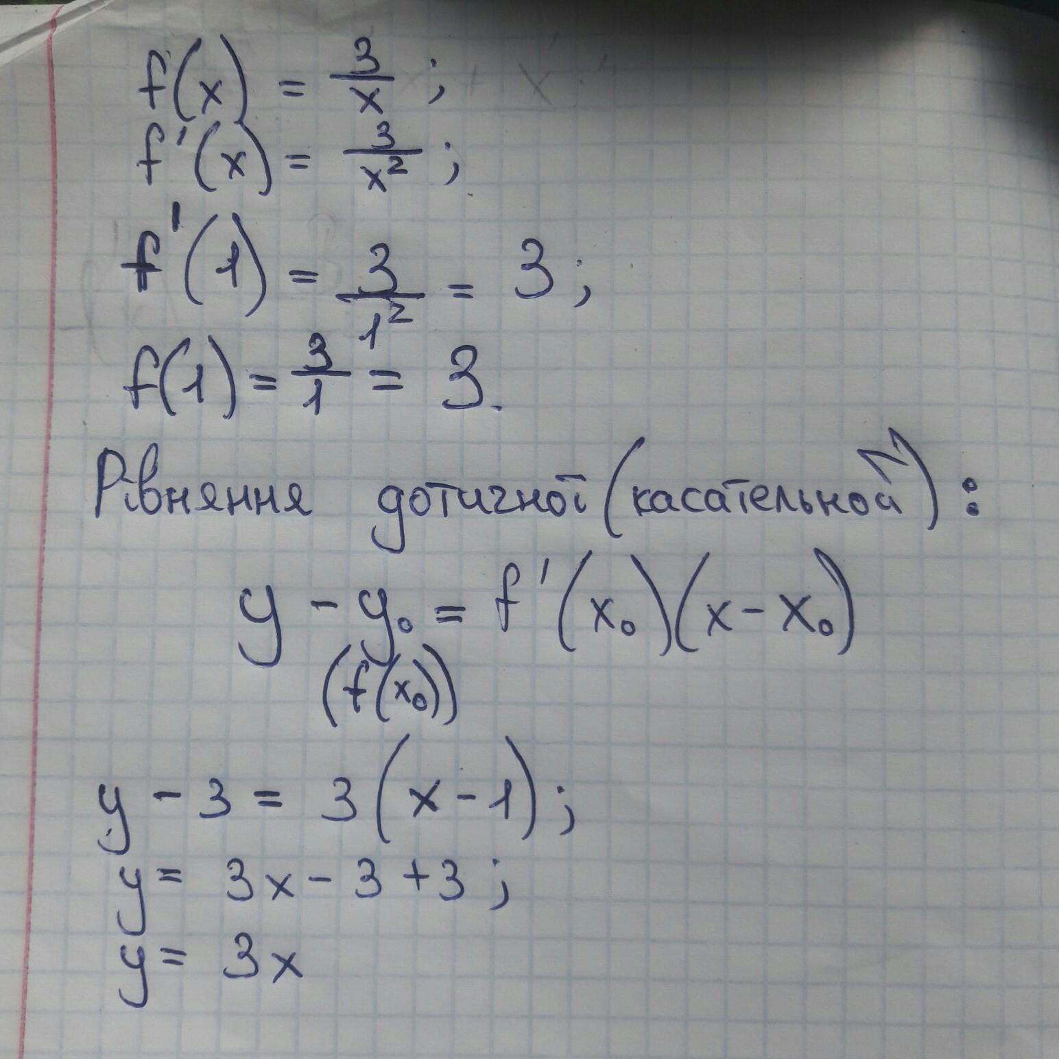
Напишите уравнение касательной к графику функции f(x)=3/x в точке с абсциссой x0=1.

Ответы

Автор ответа: Gridalex
12
Вот и все. Если что-то непонятно - спрашивайте.
Приложения:
Похожие вопросы
Предмет: Русский язык, автор: Jtuoy8168
Запишите, исправляя ошибки в употреблении причастных и деепричастных оборотов. 1. В повести найдите гипотезу, объясняющими значение слова «Москва». 2. Сидя над сочинением, её окрыляла мысль о достойной оценке. 3. Когда каждый высказал свою точку зрения, нами, взвесив все за и против, было принято компромиссное решение. 4. Каждый из них как-то сам по себе устроился на подходящему для того месте, кроме одного. 5. Пользуясь фразеологическим словарём, некоторые примеры вам покажутся знакомыми. 6. Сдвинув вельветовую кепочку достоинством в семь целковых и помахивая портфельчиком, настроение Башуцкого было приятно-беспечным. 7. Выпускники вузов должны быть знающими профессионалами основы наук. 8. Пожилая женщина поила больного отваром из бобов, оказавшийся поистине чудодейственным снадобьем. 9. Лидочка торопится, бросается к заваленному столу книгами и какими-то исписанными мелким почерком бумагами, находит синюю папку. 10. Разбуженная Марина грохотом машин потом долго не могла уснуть.
Предмет: Математика, автор: alisalentova2