Предмет: Математика,
автор: oksa2045asa
Помогите решить
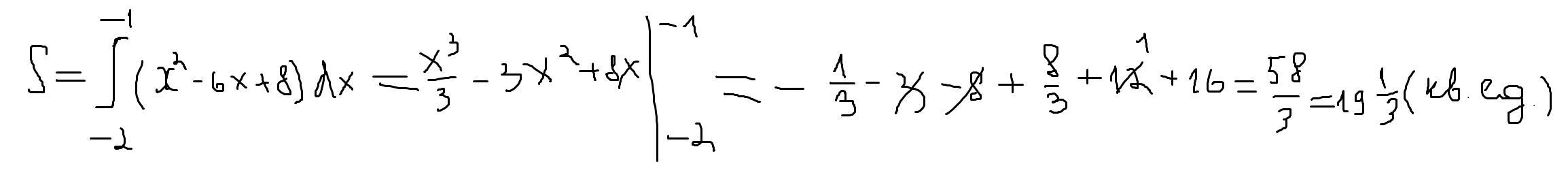
найти площадь фигуры ограниченной линиями
f(x)=x^2-6x+8, x= -1, x= -2, y=0
Ответы
Автор ответа:
0
Ответ:
Пошаговое объяснение:
ВОТ
Приложения:
oksa2045asa:
Ни кого чертежа не надо ?
Похожие вопросы
Предмет: Русский язык,
автор: sabitkurbanov5439
Предмет: География,
автор: oblikovanastya9767
Предмет: Қазақ тiлi,
автор: agalievnickita6666
Предмет: Литература,
автор: Арина3963