Предмет: Математика,
автор: dinislamv48
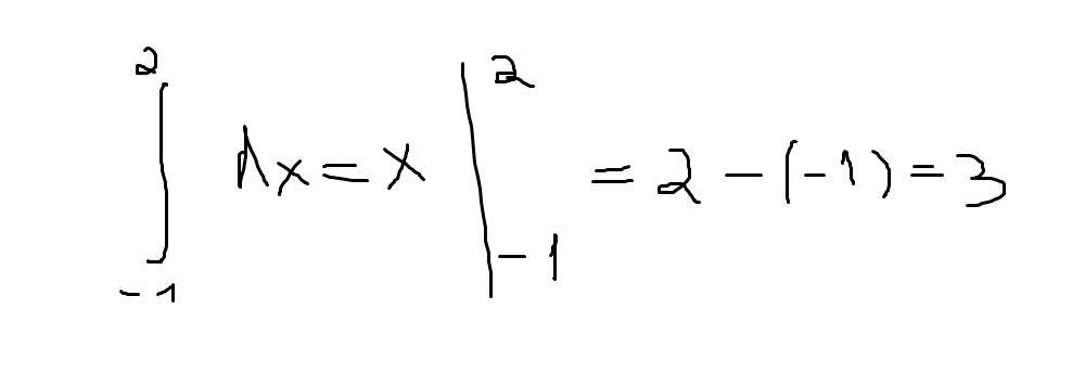
²₋₁∫dx Вычислите интеграл пожалуйста!Кто нибудь помогите
Ответы
Автор ответа:
1
Ответ:
Пошаговое объяснение:
вот
Приложения:
dinislamv48:
круто
Автор ответа:
0
интеграл равен х, пределы интегрирования -1, 2 по формуле Ньютона - Лейбница 2-(-1)=3
Похожие вопросы
Предмет: Математика,
автор: sashabalic10
Предмет: Геометрия,
автор: lakamjaytan
Предмет: Математика,
автор: polly2skor
Предмет: Алгебра,
автор: hcjc
Предмет: Биология,
автор: bio22