Предмет: Математика,
автор: Gggghhhd
Решите пожалуйста очень срочно помогите
Приложения:
Ответы
Автор ответа:
0
Ответ:
Пошаговое объяснение:
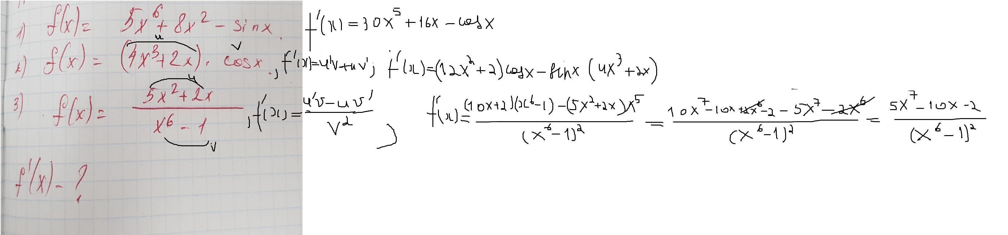
вот
Приложения:
Gggghhhd:
Что это за згак в первом примере в конце где минус?
Можешь выручить пожалуйста? Училка сказала расписать эти 3 примера типо у тебя сразу ответ идет. Помоги пожалуйста если надо 50 рублей скину на киви меня отчислить могут.
Чел помоги почему в решений во втором примере 12 получилось?
Как 12 образовалась вообще? Почему именно 12. спаси
Автор ответа:
0
1)эф штрих равен 30х⁵+16х-сosx
2) (12x²+2)*cosx+(-sinx)(4x³+2x)
3)((10x+2)(x⁶-1)-6x⁵(5x²+2x))/(x⁶-1)²=(10x⁷-10x+2x⁶-2-30x⁷-12x⁶)/(x⁶-1)²=
(-20x⁷-14x⁶-10x-2)/(x⁶-1)²
Похожие вопросы
Предмет: Математика,
автор: Sishka326
Предмет: Математика,
автор: alisalentova2
Предмет: Литература,
автор: IgorEEEEK07
Предмет: Биология,
автор: tanyyaa14
Предмет: Математика,
автор: sultanosmanov1976