Предмет: Алгебра,
автор: Kindlyfind132
Решите пожалуйста. Заранее спасибо
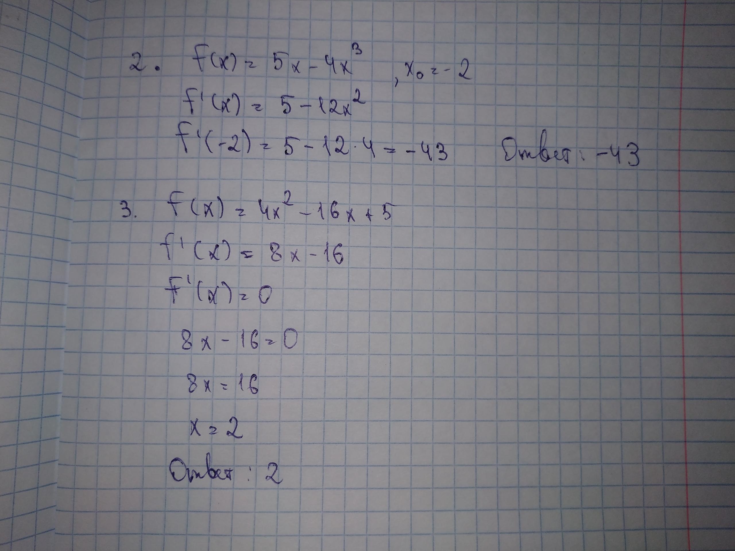
Приложения:
Ответы
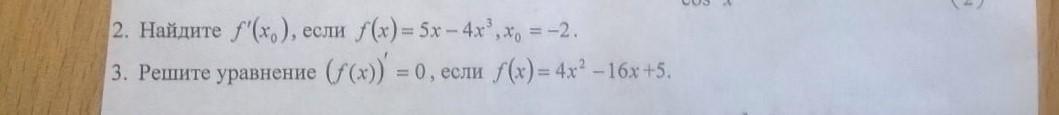
Автор ответа:
0
////////////////////////////////
Приложения:
Похожие вопросы
Предмет: Математика,
автор: ozdemirelif
Предмет: Алгебра,
автор: 6yTep6pog
Предмет: География,
автор: Vlogeranna798
Предмет: Литература,
автор: sadatnagiev
Предмет: Литература,
автор: кристина1438