Предмет: Алгебра, автор: RegisActinoide

Помогите, пожалуйста!
Упростить выражение.

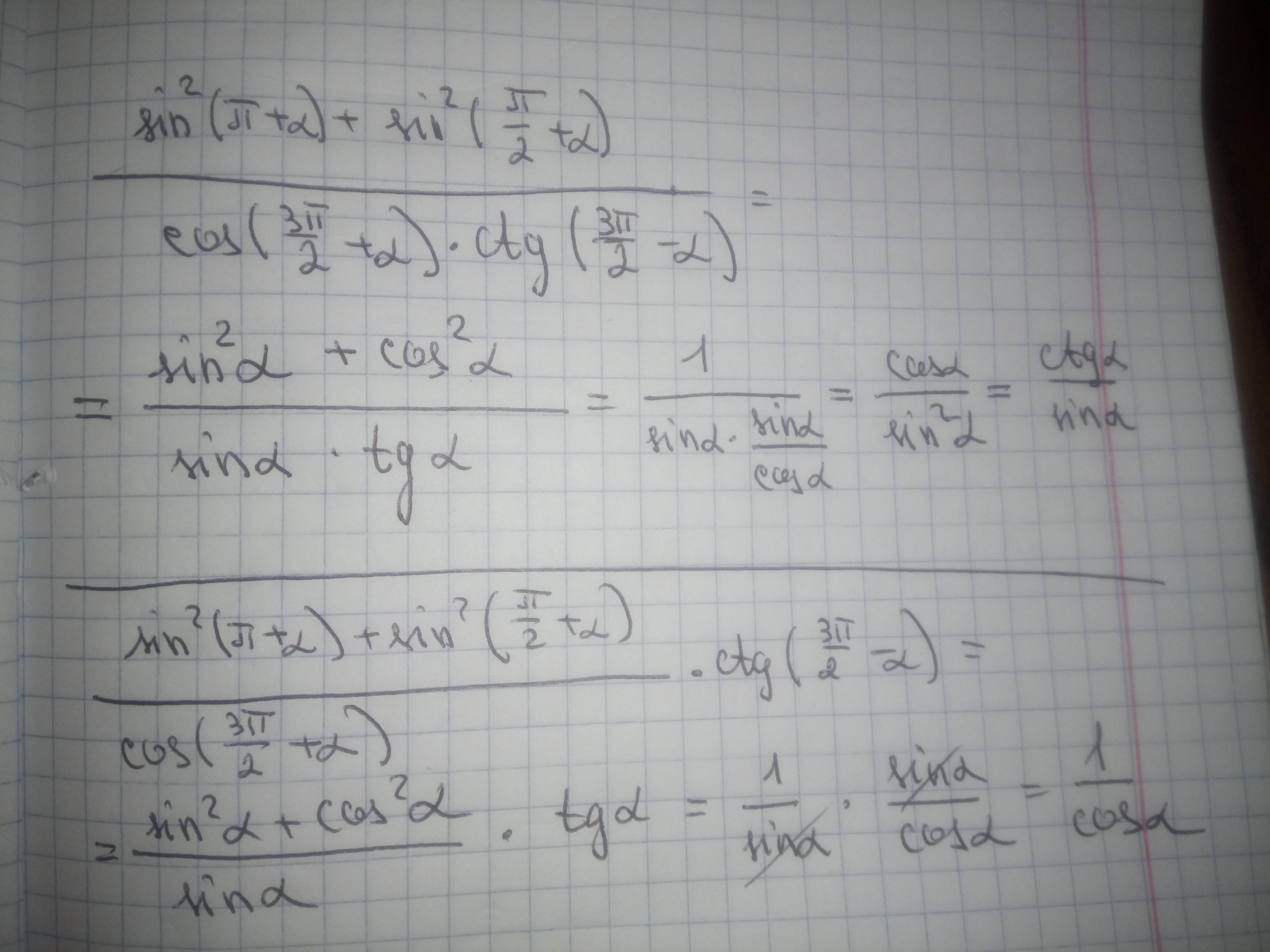
Sin^2(п+а) + sin^2(п/2+a) / cos(3п/2+а) * ctg ( 3п/2 -а )

Ответы

Автор ответа: svddss02
1

Ответ:

Используя sin (п+t) = -sin (t), преобразовываем выражение  с первым синусом + записываем второй синус с косинусом в виде дроби, дальше буду писать

                   sin(п/2+a)^2

(-sin(a))^2+ ________________ * ctg(3п/2-a)

                    cos(3п/2+a)

                         

                   sin(п/2+a)^2

sin(a)^2+___________________ *  tan(a)  

                    cos(3п/2+а)

                 cos(a)^2                sin(a)

sin(a)^2+__________   * ___________

                sin(a)                     cos(a)

sin(a)^2 +      cos(a)     (это мы сократили  выражение)

Автор ответа: Аноним
3

Условие непонятно, что уходит в знаменатель, где котангенс. Я прочитала его двумя способами, так и решила. Выбирайте, что у вас в условии.

Приложения:
Похожие вопросы
Предмет: Алгебра, автор: elenakaygorodova4550
Предмет: Математика, автор: мимиттт