Предмет: Математика,
автор: alinaeduardovna2
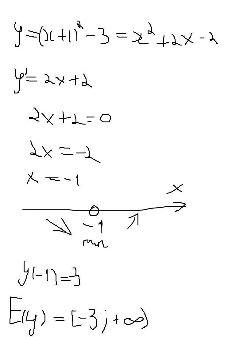
Найдите область значений функции y=(x+1)^2-3
Ответы
Автор ответа:
0
Ответ:
Пошаговое объяснение:
вот
Приложения:
alinaeduardovna2:
в условии стоит -3, а не плюс
спасибо
Похожие вопросы
Предмет: Химия,
автор: elykaseap
Предмет: Химия,
автор: timat81
Предмет: Русский язык,
автор: sqqbillen
Предмет: Алгебра,
автор: здщлшо