Предмет: Математика,
автор: braiann
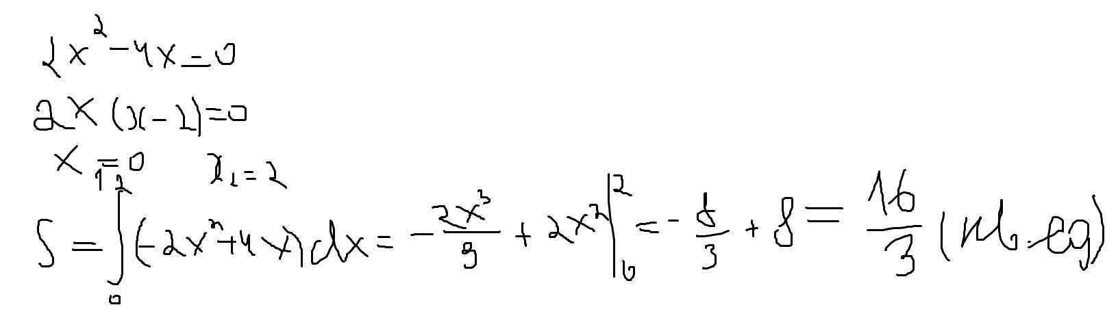
вычислите площадь фигуры,ограниченной заданными линиями у=2х в квадрате-4х у=0
Ответы
Автор ответа:
0
Ответ:
Пошаговое объяснение:
вот
Приложения:
Похожие вопросы
Предмет: Математика,
автор: margovgeraskina
Предмет: Химия,
автор: Аноним
Предмет: Алгебра,
автор: LotosssUwU
Предмет: Математика,
автор: Мариша1990
Предмет: Математика,
автор: амина328