Предмет: Математика,
автор: shishkina021
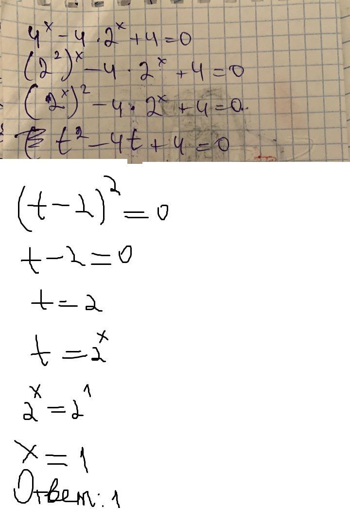
Помогите решить уравнение с t
Приложения:
Ответы
Автор ответа:
0
Ответ:
Пошаговое объяснение:
вот
Приложения:
Похожие вопросы
Предмет: Математика,
автор: arnurka17
Предмет: Математика,
автор: Аноним
Предмет: Русский язык,
автор: krasikovasofia921
Предмет: Математика,
автор: hoiynkhorov